2021 Vol.34
Display Mode: |
2021, 34: 1.
doi: 10.1186/s10033-020-00524-5
Abstract:
Current research on quadrotor modeling mainly focuses on theoretical analysis methods and experimental methods, which have problems such as weak adaptability to the environment, high test costs, and long durations. Additionally, the PID controller, which is currently widely used in quadrotors, requires improvement in anti-interference. Therefore, the aforementioned research has considerable practical significance for the modeling and controller design of quadrotors with strong coupling and nonlinear characteristics. In the present research, an aerodynamic-parameter estimation method and an adaptive attitude control method based on the linear active disturbance rejection controller (LADRC) are designed separately. First, the motion model, dynamics model, and control allocation model of the quad-rotor are established according to the aerodynamic theory and Newton–Euler equations. Next, a more accurate attitude model of the quad-rotor is obtained by using a tool called CIFER to identify the aerodynamic parameters with large uncertainties in the frequency domain. Then, an adaptive attitude decoupling controller based on the LADRC is designed to solve the problem of the poor anti-interference ability of the quad-rotor and adjust the key control parameter b0 automatically according to the change in the moment of inertia in real time. Finally, the proposed approach is verified on a semi-physical simulation platform, and it increases the tracking speed and accuracy of the controller, as well as the anti-disturbance performance and robustness of the control system. This paper proposes an effective aerodynamic-parameter identification method using CIFER and an adaptive attitude decoupling controller with a sufficient anti-interference ability.
Current research on quadrotor modeling mainly focuses on theoretical analysis methods and experimental methods, which have problems such as weak adaptability to the environment, high test costs, and long durations. Additionally, the PID controller, which is currently widely used in quadrotors, requires improvement in anti-interference. Therefore, the aforementioned research has considerable practical significance for the modeling and controller design of quadrotors with strong coupling and nonlinear characteristics. In the present research, an aerodynamic-parameter estimation method and an adaptive attitude control method based on the linear active disturbance rejection controller (LADRC) are designed separately. First, the motion model, dynamics model, and control allocation model of the quad-rotor are established according to the aerodynamic theory and Newton–Euler equations. Next, a more accurate attitude model of the quad-rotor is obtained by using a tool called CIFER to identify the aerodynamic parameters with large uncertainties in the frequency domain. Then, an adaptive attitude decoupling controller based on the LADRC is designed to solve the problem of the poor anti-interference ability of the quad-rotor and adjust the key control parameter b0 automatically according to the change in the moment of inertia in real time. Finally, the proposed approach is verified on a semi-physical simulation platform, and it increases the tracking speed and accuracy of the controller, as well as the anti-disturbance performance and robustness of the control system. This paper proposes an effective aerodynamic-parameter identification method using CIFER and an adaptive attitude decoupling controller with a sufficient anti-interference ability.
2021, 34: 6.
doi: 10.1186/s10033-020-00528-1
Abstract:
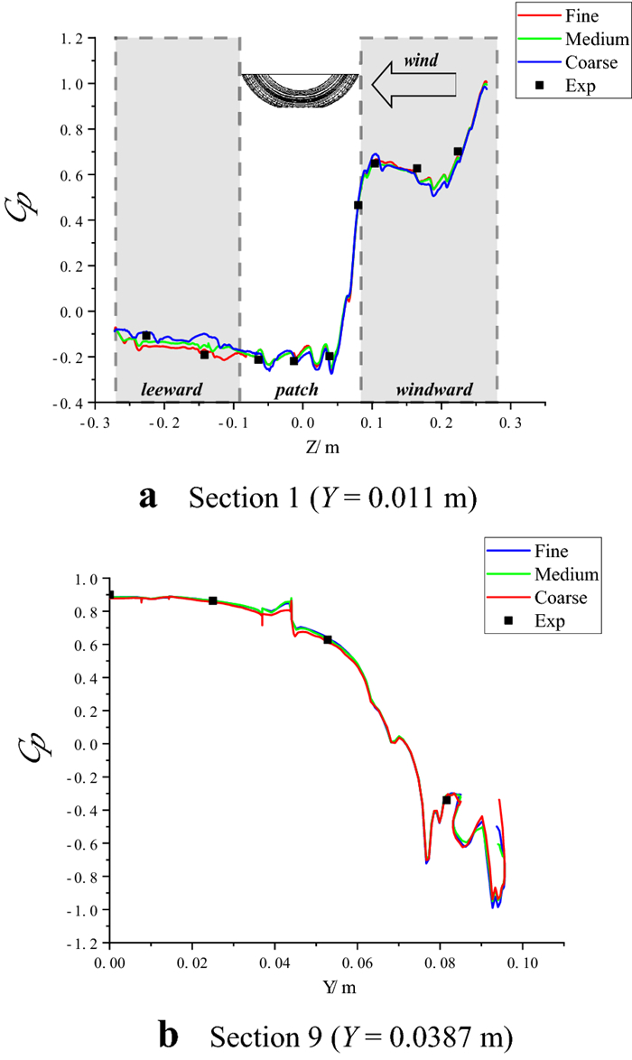
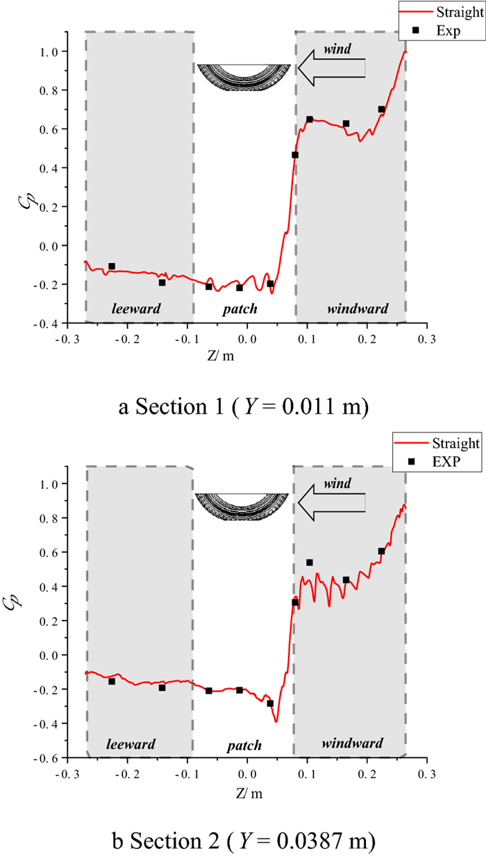
The current research of tire aerodynamics mainly focus on the isolated and simplified tread tire. Compared with the real complex pattern tire, the tread pattern structure and deformed profile of a loaded tire has a greatly influence on tire aerodynamic drag. However, the mechanisms of the isolated loaded tires with different tread patterns effects on the aerodynamic drag are subjects worthy of discussion. The purpose of this study is to experimentally and computationally investigate the aerodynamic characteristics of three tires 185/65 R14 with different patterns under loaded. A wind tunnel test model was first established using three-dimensional (3D) printing with a ratio of 1:1, and the pressure coefficients Cp of the three tires with different patterns are measured. The paper then conducted computational fluid dynamics (CFD) simulations for analyzing the pressure and flow characteristics. The accuracy of CFD simulation is verified by comparing the simulation results with the test results of pressure coefficients Cp, and they are of good consistency. While, the general analysis of pressure coefficients Cp results of the three tires indicates high-pressure area on the windward surface, and occurrence of low-pressure area on the leeward surface, the pressure coefficients Cp of all three tires decreased firstly and then increased along in the air flow direction. The authors finally analyzed the effect of tread patterns on the flow field around the tire and revealed the differences between flow characteristics and aerodynamic drag. The results show that, angle of tire lateral groove has great effect on the flow field characteristics such that; the more the angle of lateral groove agrees with the air flow direction, the less the flow separation and flow vortices, and a minimum observable aerodynamic drag. The research provides a guidance for the design of low aerodynamic drag tires, and helps to illustrate the impact of tire aerodynamics on the car body in the future.
The current research of tire aerodynamics mainly focus on the isolated and simplified tread tire. Compared with the real complex pattern tire, the tread pattern structure and deformed profile of a loaded tire has a greatly influence on tire aerodynamic drag. However, the mechanisms of the isolated loaded tires with different tread patterns effects on the aerodynamic drag are subjects worthy of discussion. The purpose of this study is to experimentally and computationally investigate the aerodynamic characteristics of three tires 185/65 R14 with different patterns under loaded. A wind tunnel test model was first established using three-dimensional (3D) printing with a ratio of 1:1, and the pressure coefficients Cp of the three tires with different patterns are measured. The paper then conducted computational fluid dynamics (CFD) simulations for analyzing the pressure and flow characteristics. The accuracy of CFD simulation is verified by comparing the simulation results with the test results of pressure coefficients Cp, and they are of good consistency. While, the general analysis of pressure coefficients Cp results of the three tires indicates high-pressure area on the windward surface, and occurrence of low-pressure area on the leeward surface, the pressure coefficients Cp of all three tires decreased firstly and then increased along in the air flow direction. The authors finally analyzed the effect of tread patterns on the flow field around the tire and revealed the differences between flow characteristics and aerodynamic drag. The results show that, angle of tire lateral groove has great effect on the flow field characteristics such that; the more the angle of lateral groove agrees with the air flow direction, the less the flow separation and flow vortices, and a minimum observable aerodynamic drag. The research provides a guidance for the design of low aerodynamic drag tires, and helps to illustrate the impact of tire aerodynamics on the car body in the future.
2021, 34: 7.
doi: 10.1186/s10033-020-00525-4
Abstract:
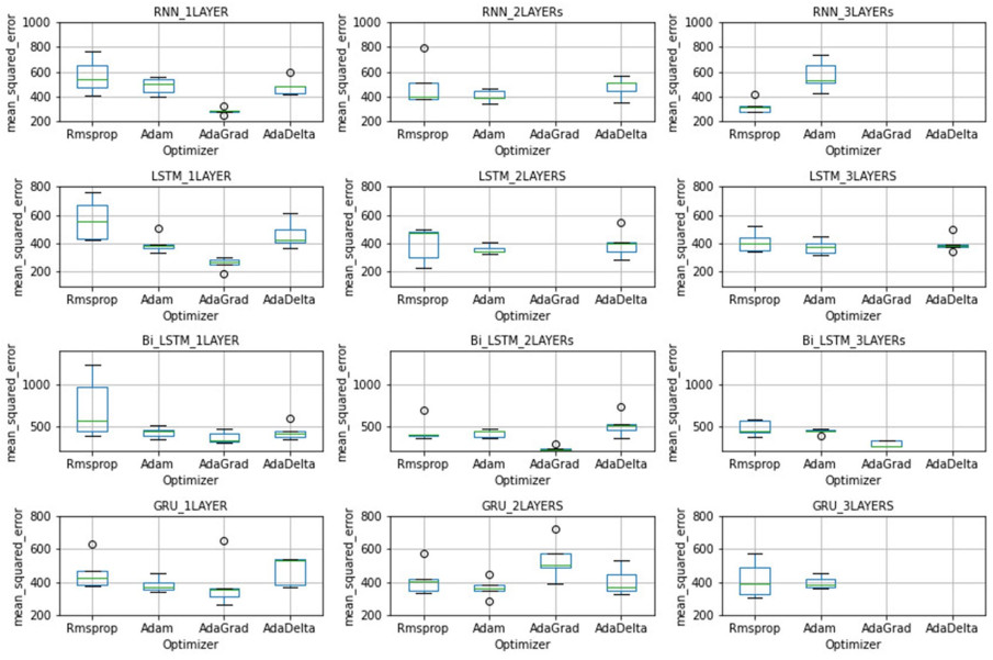
Engine tests are both costly and time consuming in developing a new internal combustion engine. Therefore, it is of great importance to predict engine characteristics with high accuracy using artificial intelligence. Thus, it is possible to reduce engine testing costs and speed up the engine development process. Deep Learning is an effective artificial intelligence method that shows high performance in many research areas through its ability to learn high-level hidden features in data samples. The present paper describes a method to predict the cylinder pressure of a Homogeneous Charge Compression Ignition (HCCI) engine for various excess air coefficients by using Deep Neural Network, which is one of the Deep Learning methods and is based on the Artificial Neural Network (ANN). The Deep Learning results were compared with the ANN and experimental results. The results show that the difference between experimental and the Deep Neural Network (DNN) results were less than 1%. The best results were obtained by Deep Learning method. The cylinder pressure was predicted with a maximum accuracy of 97.83% of the experimental value by using ANN. On the other hand, the accuracy value was increased up to 99.84% using DNN. These results show that the DNN method can be used effectively to predict cylinder pressures of internal combustion engines.
Engine tests are both costly and time consuming in developing a new internal combustion engine. Therefore, it is of great importance to predict engine characteristics with high accuracy using artificial intelligence. Thus, it is possible to reduce engine testing costs and speed up the engine development process. Deep Learning is an effective artificial intelligence method that shows high performance in many research areas through its ability to learn high-level hidden features in data samples. The present paper describes a method to predict the cylinder pressure of a Homogeneous Charge Compression Ignition (HCCI) engine for various excess air coefficients by using Deep Neural Network, which is one of the Deep Learning methods and is based on the Artificial Neural Network (ANN). The Deep Learning results were compared with the ANN and experimental results. The results show that the difference between experimental and the Deep Neural Network (DNN) results were less than 1%. The best results were obtained by Deep Learning method. The cylinder pressure was predicted with a maximum accuracy of 97.83% of the experimental value by using ANN. On the other hand, the accuracy value was increased up to 99.84% using DNN. These results show that the DNN method can be used effectively to predict cylinder pressures of internal combustion engines.
2021, 34: 10.
doi: 10.1186/s10033-020-00530-7
Abstract:
The design of aircraft hydraulic pipeline system is limited by many factors, such as the integrity of aviation structure or narrow installation space, so the limited clamp support position should be considered. This paper studied the frequency adjustment and dynamic responses reduction of the multi-support pipeline system through experiment and numerical simulation. To avoid the resonance of pipeline system, we proposed two different optimization programs, one was to avoid aero-engine working range, and another was to avoid aircraft hydraulic pump pulsation range. An optimization method was introduced in this paper to obtain the optimal clamp position. The experiments were introduced to validate the optimization results, and the theoretical optimization results can agree well with the test. With regard to avoiding the aero-engine vibration frequency, the test results revealed that the first natural frequency was far from the aero-engine vibration frequency. And the dynamic frequency sweep results showed that no resonance occurred on the pipeline in the engine vibration frequency range after optimization. Additionally, with regard to avoiding the pump vibration frequency, the test results revealed that natural frequencies have been adjusted and far from the pump vibration frequency. And the dynamic frequency sweep results showed that pipeline under optimal clamp position cannot lead to resonance. The sensitivity analysis results revealed the changing relationships between different clamp position and natural frequency. This study can provide helpful guidance on the analysis and design of practical aircraft pipeline.
The design of aircraft hydraulic pipeline system is limited by many factors, such as the integrity of aviation structure or narrow installation space, so the limited clamp support position should be considered. This paper studied the frequency adjustment and dynamic responses reduction of the multi-support pipeline system through experiment and numerical simulation. To avoid the resonance of pipeline system, we proposed two different optimization programs, one was to avoid aero-engine working range, and another was to avoid aircraft hydraulic pump pulsation range. An optimization method was introduced in this paper to obtain the optimal clamp position. The experiments were introduced to validate the optimization results, and the theoretical optimization results can agree well with the test. With regard to avoiding the aero-engine vibration frequency, the test results revealed that the first natural frequency was far from the aero-engine vibration frequency. And the dynamic frequency sweep results showed that no resonance occurred on the pipeline in the engine vibration frequency range after optimization. Additionally, with regard to avoiding the pump vibration frequency, the test results revealed that natural frequencies have been adjusted and far from the pump vibration frequency. And the dynamic frequency sweep results showed that pipeline under optimal clamp position cannot lead to resonance. The sensitivity analysis results revealed the changing relationships between different clamp position and natural frequency. This study can provide helpful guidance on the analysis and design of practical aircraft pipeline.
2021, 34: 11.
doi: 10.1186/s10033-020-00523-6
Abstract:
Given the global lack of effective analysis methods for the impact of design parameter tolerance on performance deviation in the vehicle proof-of-concept stage, it is difficult to decompose performance tolerance to design parameter tolerance. This study proposes a set of consistency analysis methods for vehicle steering performance. The process of consistency analysis and control of automotive performance in the conceptual design phase is proposed for the first time. A vehicle dynamics model is constructed, and the multi-objective optimization software Isight is used to optimize the steering performance of the car. Sensitivity analysis is used to optimize the design performance value. The tolerance interval of the performance is obtained by comparing the original car performance value with the optimized value. With the help of layer-by-layer decomposition theory and interval mathematics, automotive performance tolerance has been decomposed into design parameter tolerance. Through simulation and real vehicle experiments, the validity of the consistency analysis and control method presented in this paper are verified. The decomposition from parameter tolerance to performance tolerance can be achieved at the conceptual design stage.
Given the global lack of effective analysis methods for the impact of design parameter tolerance on performance deviation in the vehicle proof-of-concept stage, it is difficult to decompose performance tolerance to design parameter tolerance. This study proposes a set of consistency analysis methods for vehicle steering performance. The process of consistency analysis and control of automotive performance in the conceptual design phase is proposed for the first time. A vehicle dynamics model is constructed, and the multi-objective optimization software Isight is used to optimize the steering performance of the car. Sensitivity analysis is used to optimize the design performance value. The tolerance interval of the performance is obtained by comparing the original car performance value with the optimized value. With the help of layer-by-layer decomposition theory and interval mathematics, automotive performance tolerance has been decomposed into design parameter tolerance. Through simulation and real vehicle experiments, the validity of the consistency analysis and control method presented in this paper are verified. The decomposition from parameter tolerance to performance tolerance can be achieved at the conceptual design stage.
2021, 34: 49.
doi: 10.1186/s10033-021-00571-6
Abstract:
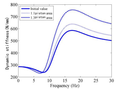
At present, research on hydraulic mounts has mainly focused on the prediction of the dynamic stiffness and loss angle. Compared to the traditional finite element analysis method, the programming method can be used to analyze hydraulic mounts for a rapid and accurate understanding of the influence of the different mounting parameters on the dynamic stiffness and loss angle. The aims of this study were to investigate the nonlinear dynamic characteristics of a hydraulic mount, and to identify the parameters that affect the dynamic stiffness and loss angle using MATLAB software programs to obtain the influence curves of the parameters, so as to use suitable parameters as the basis for vibration analysis. A nonlinear mechanical model of a hydraulic mount was established according to the basic principles of fluid dynamics. The dynamic stiffness and loss angle of the dimensionless expression were proposed. A numerical calculation method for the dynamic performance evaluation index of the hydraulic mount was derived. A one-to-one correspondence was established between the structural parameters and peak frequency of the evaluation index. The accuracy and applicability of the mechanical model were verified by the test results. The results demonstrated the accuracy of the nonlinear mechanical model of the hydraulic mount, and the vehicle driving comfort was greatly improved by the optimization of the structural parameters.
At present, research on hydraulic mounts has mainly focused on the prediction of the dynamic stiffness and loss angle. Compared to the traditional finite element analysis method, the programming method can be used to analyze hydraulic mounts for a rapid and accurate understanding of the influence of the different mounting parameters on the dynamic stiffness and loss angle. The aims of this study were to investigate the nonlinear dynamic characteristics of a hydraulic mount, and to identify the parameters that affect the dynamic stiffness and loss angle using MATLAB software programs to obtain the influence curves of the parameters, so as to use suitable parameters as the basis for vibration analysis. A nonlinear mechanical model of a hydraulic mount was established according to the basic principles of fluid dynamics. The dynamic stiffness and loss angle of the dimensionless expression were proposed. A numerical calculation method for the dynamic performance evaluation index of the hydraulic mount was derived. A one-to-one correspondence was established between the structural parameters and peak frequency of the evaluation index. The accuracy and applicability of the mechanical model were verified by the test results. The results demonstrated the accuracy of the nonlinear mechanical model of the hydraulic mount, and the vehicle driving comfort was greatly improved by the optimization of the structural parameters.
2021, 34: 50.
doi: 10.1186/s10033-021-00572-5
Abstract:
The clutch is an important component of the vehicle driveline system. One of its major functions is to attenuate or eliminate the torsional vibration and noise of the driveline system caused by the engine. Based on experiments of vibration damping under different vehicle conditions, the structure and functional principle of a clutch-driven disc assembly for a wide-angle, large-hysteresis, multistage damper is investigated in this study using an innovative combined approach. Furthermore, a systematic integration of key technologies, including wide-angle low-stiffness damping technology, large-hysteresis clutch technology, a novel split pre-damping structure technology, damping structure technology for component cushioning, and multistage damping structure technology, is proposed. The results show that the total torsional angle of the wide-angle large-hysteresis, multistage damper is more than twice that of the traditional clutch damper. The multistage damping design allows a better consideration of various damping requirements under different vehicle conditions, which can effectively address problems of severe idle vibrations and torsional resonance that occur under idled and accelerated conditions. Meanwhile, the use of a large-hysteresis structure and wear-resistant materials not only improves the vibration damping performance, but also prolongs the product service life, consequently resulting in multi-faceted optimization and innovative products.
The clutch is an important component of the vehicle driveline system. One of its major functions is to attenuate or eliminate the torsional vibration and noise of the driveline system caused by the engine. Based on experiments of vibration damping under different vehicle conditions, the structure and functional principle of a clutch-driven disc assembly for a wide-angle, large-hysteresis, multistage damper is investigated in this study using an innovative combined approach. Furthermore, a systematic integration of key technologies, including wide-angle low-stiffness damping technology, large-hysteresis clutch technology, a novel split pre-damping structure technology, damping structure technology for component cushioning, and multistage damping structure technology, is proposed. The results show that the total torsional angle of the wide-angle large-hysteresis, multistage damper is more than twice that of the traditional clutch damper. The multistage damping design allows a better consideration of various damping requirements under different vehicle conditions, which can effectively address problems of severe idle vibrations and torsional resonance that occur under idled and accelerated conditions. Meanwhile, the use of a large-hysteresis structure and wear-resistant materials not only improves the vibration damping performance, but also prolongs the product service life, consequently resulting in multi-faceted optimization and innovative products.
2021, 34: 55.
doi: 10.1186/s10033-021-00559-2
Abstract:
Vertical tire forces are essential for vehicle modelling and dynamic control. However, an evaluation of the vertical tire forces on a multi-axle truck is difficult to accomplish. The current methods require a large amount of experimental data and many sensors owing to the wide variation of the parameters and the over-constraint. To simplify the design process and reduce the demand of the sensors, this paper presents a practical approach to estimating the vertical tire forces of a multi-axle truck for dynamic control. The estimation system is based on a novel vertical force model and a proposed adaptive treble extend Kalman filter (ATEKF). To adapt to the widely varying parameters, a sliding mode update is designed to make the ATEKF adaptive, and together with the use of an initial setting update and a vertical tire force adjustment, the overall system becomes more robust. In particular, the model aims to eliminate the effects of the over-constraint and the uneven weight distribution. The results show that the ATEKF method achieves an excellent performance in a vertical force evaluation, and its performance is better than that of the treble extend Kalman filter.
Vertical tire forces are essential for vehicle modelling and dynamic control. However, an evaluation of the vertical tire forces on a multi-axle truck is difficult to accomplish. The current methods require a large amount of experimental data and many sensors owing to the wide variation of the parameters and the over-constraint. To simplify the design process and reduce the demand of the sensors, this paper presents a practical approach to estimating the vertical tire forces of a multi-axle truck for dynamic control. The estimation system is based on a novel vertical force model and a proposed adaptive treble extend Kalman filter (ATEKF). To adapt to the widely varying parameters, a sliding mode update is designed to make the ATEKF adaptive, and together with the use of an initial setting update and a vertical tire force adjustment, the overall system becomes more robust. In particular, the model aims to eliminate the effects of the over-constraint and the uneven weight distribution. The results show that the ATEKF method achieves an excellent performance in a vertical force evaluation, and its performance is better than that of the treble extend Kalman filter.
2021, 34: 2.
doi: 10.1186/s10033-020-00526-3
Abstract:
Self-piercing riveting (SPR) is a cold forming technique used to fasten together two or more sheets of materials with a rivet without the need to predrill a hole. The application of SPR in the automotive sector has become increasingly popular mainly due to the growing use of lightweight materials in transportation applications. However, SPR joining of these advanced light materials remains a challenge as these materials often lack a good combination of high strength and ductility to resist the large plastic deformation induced by the SPR process. In this paper, SPR joints of advanced materials and their corresponding failure mechanisms are discussed, aiming to provide the foundation for future improvement of SPR joint quality. This paper is divided into three major sections: 1) joint failures focusing on joint defects originated from the SPR process and joint failure modes under different mechanical loading conditions, 2) joint corrosion issues, and 3) joint optimisation via process parameters and advanced techniques.
Self-piercing riveting (SPR) is a cold forming technique used to fasten together two or more sheets of materials with a rivet without the need to predrill a hole. The application of SPR in the automotive sector has become increasingly popular mainly due to the growing use of lightweight materials in transportation applications. However, SPR joining of these advanced light materials remains a challenge as these materials often lack a good combination of high strength and ductility to resist the large plastic deformation induced by the SPR process. In this paper, SPR joints of advanced materials and their corresponding failure mechanisms are discussed, aiming to provide the foundation for future improvement of SPR joint quality. This paper is divided into three major sections: 1) joint failures focusing on joint defects originated from the SPR process and joint failure modes under different mechanical loading conditions, 2) joint corrosion issues, and 3) joint optimisation via process parameters and advanced techniques.
2021, 34: 14.
doi: 10.1186/s10033-021-00532-z
Abstract:
Hydraulic pumps are a positive displacement pump whose working principle causes inherent output flow pulsation. Flow pulsation produces pressure pulsation when encountering liquid resistance. Pressure pulsation spreads in the pipeline and causes vibration, noise, damage, and even pipeline rupture and major safety accidents. With the development of airborne hydraulic systems with high pressure, power, and flow rate, the hazards of vibration and noise caused by pressure pulsation are also amplified, severely restricting the application and development of hydraulic systems. In this review paper, the mechanism, harm, and suppression method of pressure pulsation in hydraulic systems are analyzed. Then, the classification and characteristics of pulsation attenuators according to different working principles are described. Furthermore, the critical technology of simulation design, matching method with airborne piston pumps, and preliminary design method of pulsation attenuators are proposed. Finally, the development trend of pulsation attenuators is prospected. This paper provides a reference for the research and application of pressure pulsation attenuators.
Hydraulic pumps are a positive displacement pump whose working principle causes inherent output flow pulsation. Flow pulsation produces pressure pulsation when encountering liquid resistance. Pressure pulsation spreads in the pipeline and causes vibration, noise, damage, and even pipeline rupture and major safety accidents. With the development of airborne hydraulic systems with high pressure, power, and flow rate, the hazards of vibration and noise caused by pressure pulsation are also amplified, severely restricting the application and development of hydraulic systems. In this review paper, the mechanism, harm, and suppression method of pressure pulsation in hydraulic systems are analyzed. Then, the classification and characteristics of pulsation attenuators according to different working principles are described. Furthermore, the critical technology of simulation design, matching method with airborne piston pumps, and preliminary design method of pulsation attenuators are proposed. Finally, the development trend of pulsation attenuators is prospected. This paper provides a reference for the research and application of pressure pulsation attenuators.
2021, 34: 18.
doi: 10.1186/s10033-021-00536-9
Abstract:
Aluminum alloy is the main structural material of aircraft, launch vehicle, spaceship, and space station and is processed by milling. However, tool wear and vibration are the bottlenecks in the milling process of aviation aluminum alloy. The machining accuracy and surface quality of aluminum alloy milling depend on the cutting parameters, material mechanical properties, machine tools, and other parameters. In particular, milling force is the crucial factor to determine material removal and workpiece surface integrity. However, establishing the prediction model of milling force is important and difficult because milling force is the result of multiparameter coupling of process system. The research progress of cutting force model is reviewed from three modeling methods: empirical model, finite element simulation, and instantaneous milling force model. The problems of cutting force modeling are also determined. In view of these problems, the future work direction is proposed in the following four aspects: (1) high-speed milling is adopted for the thin-walled structure of large aviation with large cutting depth, which easily produces high residual stress. The residual stress should be analyzed under this particular condition. (2) Multiple factors (e.g., eccentric swing milling parameters, lubrication conditions, tools, tool and workpiece deformation, and size effect) should be considered comprehensively when modeling instantaneous milling forces, especially for micro milling and complex surface machining. (3) The database of milling force model, including the corresponding workpiece materials, working condition, cutting tools (geometric figures and coatings), and other parameters, should be established. (4) The effect of chatter on the prediction accuracy of milling force cannot be ignored in thin-walled workpiece milling. (5) The cutting force of aviation aluminum alloy milling under the condition of minimum quantity lubrication (mql) and nanofluid mql should be predicted.
Aluminum alloy is the main structural material of aircraft, launch vehicle, spaceship, and space station and is processed by milling. However, tool wear and vibration are the bottlenecks in the milling process of aviation aluminum alloy. The machining accuracy and surface quality of aluminum alloy milling depend on the cutting parameters, material mechanical properties, machine tools, and other parameters. In particular, milling force is the crucial factor to determine material removal and workpiece surface integrity. However, establishing the prediction model of milling force is important and difficult because milling force is the result of multiparameter coupling of process system. The research progress of cutting force model is reviewed from three modeling methods: empirical model, finite element simulation, and instantaneous milling force model. The problems of cutting force modeling are also determined. In view of these problems, the future work direction is proposed in the following four aspects: (1) high-speed milling is adopted for the thin-walled structure of large aviation with large cutting depth, which easily produces high residual stress. The residual stress should be analyzed under this particular condition. (2) Multiple factors (e.g., eccentric swing milling parameters, lubrication conditions, tools, tool and workpiece deformation, and size effect) should be considered comprehensively when modeling instantaneous milling forces, especially for micro milling and complex surface machining. (3) The database of milling force model, including the corresponding workpiece materials, working condition, cutting tools (geometric figures and coatings), and other parameters, should be established. (4) The effect of chatter on the prediction accuracy of milling force cannot be ignored in thin-walled workpiece milling. (5) The cutting force of aviation aluminum alloy milling under the condition of minimum quantity lubrication (mql) and nanofluid mql should be predicted.
2021, 34: 30.
doi: 10.1186/s10033-021-00547-6
Abstract:
As a starting point in equipment manufacturing, sawing plays an important role in industrial production. Intelligent manufacturing equipment is an important carrier of intelligent manufacturing technologies. Due to the backwardness of intelligent technology, the comprehensive performance of sawing equipments in China is obviously different from that in foreign countries. State of the art of advanced sawing equipments is investigated along with the technical bottleneck of sawing machine tool manufacturing, and a new industrial scheme of replacing turning-milling by sawing is described. The key technologies of processing-measuring integrated control, multi-body dynamic optimization, the collaborative sawing network framework, the distributed cloud sawing platform, and the self-adapting service method are analyzed; with consideration of the problems of poor processing control stableness, low single machine intelligence level, no on-line processing data service and active flutter suppression of sawing with widewidth and heavy-load working conditions. Suggested directions for further research, industry implementation, and industry-research collaboration are provided.
As a starting point in equipment manufacturing, sawing plays an important role in industrial production. Intelligent manufacturing equipment is an important carrier of intelligent manufacturing technologies. Due to the backwardness of intelligent technology, the comprehensive performance of sawing equipments in China is obviously different from that in foreign countries. State of the art of advanced sawing equipments is investigated along with the technical bottleneck of sawing machine tool manufacturing, and a new industrial scheme of replacing turning-milling by sawing is described. The key technologies of processing-measuring integrated control, multi-body dynamic optimization, the collaborative sawing network framework, the distributed cloud sawing platform, and the self-adapting service method are analyzed; with consideration of the problems of poor processing control stableness, low single machine intelligence level, no on-line processing data service and active flutter suppression of sawing with widewidth and heavy-load working conditions. Suggested directions for further research, industry implementation, and industry-research collaboration are provided.
2021, 34: 32.
doi: 10.1186/s10033-021-00550-x
Abstract:
As the bridge between basic principles and applications of nanotechnology, nanofabrication methods play significant role in supporting the development of nanoscale science and engineering, which is changing and improving the production and lifestyle of the human. Photo lithography and other alternative technologies, such as nanoimprinting, electron beam lithography, focused ion beam cutting, and scanning probe lithography, have brought great progress of semiconductor industry, IC manufacturing and micro/nanoelectromechanical system (MEMS/NEMS) devices. However, there remains a lot of challenges, relating to the resolution, cost, speed, and so on, in realizing high-quality products with further development of nanotechnology. None of the existing techniques can satisfy all the needs in nanoscience and nanotechnology at the same time, and it is essential to explore new nanofabrication methods. As a newly developed scanning probe microscope (SPM)-based lithography, friction-induced nanofabrication provides opportunities for maskless, flexible, low-damage, low-cost and environment-friendly processing on a wide variety of materials, including silicon, quartz, glass surfaces, and so on. It has been proved that this fabrication route provides with a broad application prospect in the fabrication of nanoimprint templates, microfluidic devices, and micro/nano optical structures. This paper hereby involved the principals and operations of friction-induced nanofabrication, including friction-induced selective etching, and the applications were reviewed as well for looking ahead at opportunities and challenges with nanotechnology development. The present review will not only enrich the knowledge in nanotribology, but also plays a positive role in promoting SPM-based nanofabrication.
As the bridge between basic principles and applications of nanotechnology, nanofabrication methods play significant role in supporting the development of nanoscale science and engineering, which is changing and improving the production and lifestyle of the human. Photo lithography and other alternative technologies, such as nanoimprinting, electron beam lithography, focused ion beam cutting, and scanning probe lithography, have brought great progress of semiconductor industry, IC manufacturing and micro/nanoelectromechanical system (MEMS/NEMS) devices. However, there remains a lot of challenges, relating to the resolution, cost, speed, and so on, in realizing high-quality products with further development of nanotechnology. None of the existing techniques can satisfy all the needs in nanoscience and nanotechnology at the same time, and it is essential to explore new nanofabrication methods. As a newly developed scanning probe microscope (SPM)-based lithography, friction-induced nanofabrication provides opportunities for maskless, flexible, low-damage, low-cost and environment-friendly processing on a wide variety of materials, including silicon, quartz, glass surfaces, and so on. It has been proved that this fabrication route provides with a broad application prospect in the fabrication of nanoimprint templates, microfluidic devices, and micro/nano optical structures. This paper hereby involved the principals and operations of friction-induced nanofabrication, including friction-induced selective etching, and the applications were reviewed as well for looking ahead at opportunities and challenges with nanotechnology development. The present review will not only enrich the knowledge in nanotribology, but also plays a positive role in promoting SPM-based nanofabrication.
2021, 34: 34.
doi: 10.1186/s10033-021-00552-9
Abstract:
Inconel 718, a nickel, chrome and iron alloy, has special advantages, such as high-temperature strength, thermal resistance and corrosion resistance, which facilitate wide usage in the aerospace industry, especially in the hot sections of gas turbine engines. However, machining this alloy is correlated closely with the material's inherent properties such as excellent combination of strength, hardness and toughness, low thermal conductivity and the tendency to adhere to cutting tools. This nickel alloy also contains inclusions of hard abrasive carbide particles that lead to work-hardening of the workpiece material and thus abrasive wear of the cutting tool. That is, the machining of Inconel 718 is always influenced by high mechanical and thermal loads. This article reviews the chip formation mechanism of Inconel 718. One of the main characteristics in machining of Inconel 718 is that it will produce serrated or segmented chips in a wide range of cutting speeds and feeds. Existing studies show that the chip serration or segmentation by shear localization affects the machined surface integrity, and also contributes to the chip's evacuation and the automation of machining operations. Thus, research conclusion indicates that the serrated or segmented chip phenomenon is desirable in reducing the level of cutting force, and detailed analysis of models and approaches to understand the chip formation mechanism of Inconel 718 is vital for machining this alloy effectively and efficiently. Therefore, this article presents some summaries on the models and approaches on the chip formation in machining of Inconel 718.
Inconel 718, a nickel, chrome and iron alloy, has special advantages, such as high-temperature strength, thermal resistance and corrosion resistance, which facilitate wide usage in the aerospace industry, especially in the hot sections of gas turbine engines. However, machining this alloy is correlated closely with the material's inherent properties such as excellent combination of strength, hardness and toughness, low thermal conductivity and the tendency to adhere to cutting tools. This nickel alloy also contains inclusions of hard abrasive carbide particles that lead to work-hardening of the workpiece material and thus abrasive wear of the cutting tool. That is, the machining of Inconel 718 is always influenced by high mechanical and thermal loads. This article reviews the chip formation mechanism of Inconel 718. One of the main characteristics in machining of Inconel 718 is that it will produce serrated or segmented chips in a wide range of cutting speeds and feeds. Existing studies show that the chip serration or segmentation by shear localization affects the machined surface integrity, and also contributes to the chip's evacuation and the automation of machining operations. Thus, research conclusion indicates that the serrated or segmented chip phenomenon is desirable in reducing the level of cutting force, and detailed analysis of models and approaches to understand the chip formation mechanism of Inconel 718 is vital for machining this alloy effectively and efficiently. Therefore, this article presents some summaries on the models and approaches on the chip formation in machining of Inconel 718.
2021, 34: 38.
doi: 10.1186/s10033-021-00554-7
Abstract:
Important progresses in the study of laser additive manufacturing on metal matrix composites (MMCs) have been made. Recent efforts and advances in additive manufacturing on 5 types of MMCs are presented and reviewed. The main focus is on the material design, the combination of reinforcement and the metal matrix, the synthesis principle during the manufacturing process, and the resulted microstructures as well as properties. Thereafter, the trend of development in future is forecasted, including: Formation mechanism and reinforcement principle of strengthening phase; Material and process design to actively achieve expected performance; Innovative structure design based on the special properties of laser AM MMCs; Simulation, monitoring and optimization in the process of laser AM MMCs.
Important progresses in the study of laser additive manufacturing on metal matrix composites (MMCs) have been made. Recent efforts and advances in additive manufacturing on 5 types of MMCs are presented and reviewed. The main focus is on the material design, the combination of reinforcement and the metal matrix, the synthesis principle during the manufacturing process, and the resulted microstructures as well as properties. Thereafter, the trend of development in future is forecasted, including: Formation mechanism and reinforcement principle of strengthening phase; Material and process design to actively achieve expected performance; Innovative structure design based on the special properties of laser AM MMCs; Simulation, monitoring and optimization in the process of laser AM MMCs.
2021, 34: 42.
doi: 10.1186/s10033-021-00555-6
Abstract:
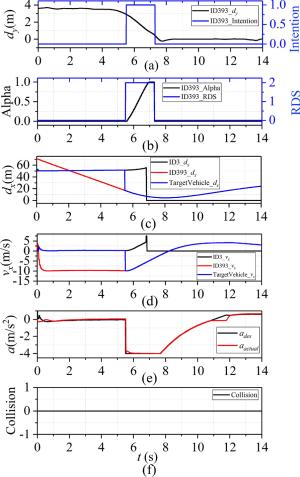
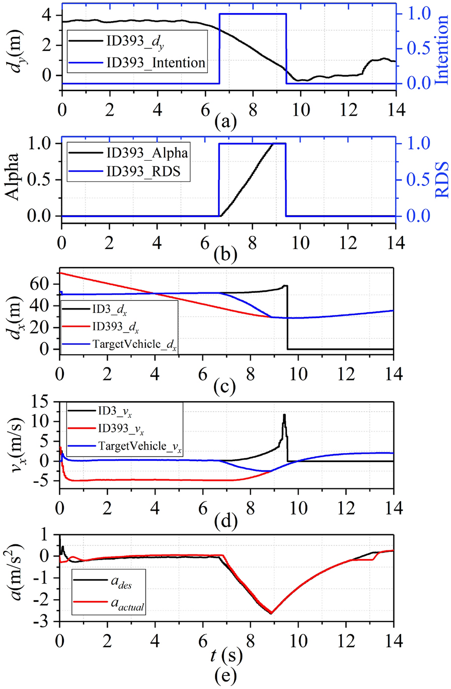
An X-by-wire chassis can improve the kinematic characteristics of human-vehicle closed-loop system and thus active safety especially under emergency scenarios via enabling chassis coordinated control. This paper aims to provide a complete and systematic survey on chassis coordinated control methods for full X-by-wire vehicles, with the primary goal of summarizing recent reserch advancements and stimulating innovative thoughts. Driving condition identification including driver's operation intention, critical vehicle states and road adhesion condition and integrated control of X-by-wire chassis subsystems constitute the main framework of a chassis coordinated control scheme. Under steering and braking maneuvers, different driving condition identification methods are described in this paper. These are the trigger conditions and the basis for the implementation of chassis coordinated control. For the vehicles equipped with steering-by-wire, braking-by-wire and/or wire-controlled-suspension systems, state-of-the-art chassis coordinated control methods are reviewed including the coordination of any two or three chassis subsystems. Finally, the development trends are discussed.
An X-by-wire chassis can improve the kinematic characteristics of human-vehicle closed-loop system and thus active safety especially under emergency scenarios via enabling chassis coordinated control. This paper aims to provide a complete and systematic survey on chassis coordinated control methods for full X-by-wire vehicles, with the primary goal of summarizing recent reserch advancements and stimulating innovative thoughts. Driving condition identification including driver's operation intention, critical vehicle states and road adhesion condition and integrated control of X-by-wire chassis subsystems constitute the main framework of a chassis coordinated control scheme. Under steering and braking maneuvers, different driving condition identification methods are described in this paper. These are the trigger conditions and the basis for the implementation of chassis coordinated control. For the vehicles equipped with steering-by-wire, braking-by-wire and/or wire-controlled-suspension systems, state-of-the-art chassis coordinated control methods are reviewed including the coordination of any two or three chassis subsystems. Finally, the development trends are discussed.
2021, 34: 57.
doi: 10.1186/s10033-021-00577-0
Abstract:
Lithium-ion batteries have always been a focus of research on new energy vehicles, however, their internal reactions are complex, and problems such as battery aging and safety have not been fully understood. In view of the research and preliminary application of the digital twin in complex systems such as aerospace, we will have the opportunity to use the digital twin to solve the bottleneck of current battery research. Firstly, this paper arranges the development history, basic concepts and key technologies of the digital twin, and summarizes current research methods and challenges in battery modeling, state estimation, remaining useful life prediction, battery safety and control. Furthermore, based on digital twin we describe the solutions for battery digital modeling, real-time state estimation, dynamic charging control, dynamic thermal management, and dynamic equalization control in the intelligent battery management system. We also give development opportunities for digital twin in the battery field. Finally we summarize the development trends and challenges of smart battery management.
Lithium-ion batteries have always been a focus of research on new energy vehicles, however, their internal reactions are complex, and problems such as battery aging and safety have not been fully understood. In view of the research and preliminary application of the digital twin in complex systems such as aerospace, we will have the opportunity to use the digital twin to solve the bottleneck of current battery research. Firstly, this paper arranges the development history, basic concepts and key technologies of the digital twin, and summarizes current research methods and challenges in battery modeling, state estimation, remaining useful life prediction, battery safety and control. Furthermore, based on digital twin we describe the solutions for battery digital modeling, real-time state estimation, dynamic charging control, dynamic thermal management, and dynamic equalization control in the intelligent battery management system. We also give development opportunities for digital twin in the battery field. Finally we summarize the development trends and challenges of smart battery management.
2021, 34: 75.
doi: 10.1186/s10033-021-00593-0
Abstract:
The current investigation of refill friction stir spot welding (refill FSSW) Al alloy to copper primarily involved plunging the tool into bottom copper sheet to achieve both metallurgical and mechanical interfacial bonding. Compared to conventional FSSW and pinless FSSW, weld strength can be significantly improved by using this method. Nevertheless, tool wear is a critical issue during refill FSSW. In this study, defect-free Al/copper dissimilar welds were successfully fabricated using refill FSSW by only plunging the tool into top Al alloy sheet. Overall, two types of continuous and ultra-thin intermetallic compounds (IMCs) layers were identified at the whole Al/copper interface. Also, strong evidence of melting and resolidification was observed in the localized region. The peak temperature obtained at the center of Al/copper interface was 591 ℃, and the heating rate reached up to 916 ℃/s during the sleeve penetration phase. A softened weld region was produced via refill FSSW process, the hardness profile exhibited a W-shaped appearance along middle thickness of top Al alloy. The weld lap shear load was insensitive to the welding condition, whose scatter was rather small. The fracture path exclusively propagated along the IMCs layer of Cu9Al4 under the external lap shear loadings, both CuAl2 and Cu9Al4 were detected on the fractured surface on the copper side. This research indicated that acceptable weld strength can be achieved via pure metallurgical joining mechanism, which has significant potential for the industrial applications.
The current investigation of refill friction stir spot welding (refill FSSW) Al alloy to copper primarily involved plunging the tool into bottom copper sheet to achieve both metallurgical and mechanical interfacial bonding. Compared to conventional FSSW and pinless FSSW, weld strength can be significantly improved by using this method. Nevertheless, tool wear is a critical issue during refill FSSW. In this study, defect-free Al/copper dissimilar welds were successfully fabricated using refill FSSW by only plunging the tool into top Al alloy sheet. Overall, two types of continuous and ultra-thin intermetallic compounds (IMCs) layers were identified at the whole Al/copper interface. Also, strong evidence of melting and resolidification was observed in the localized region. The peak temperature obtained at the center of Al/copper interface was 591 ℃, and the heating rate reached up to 916 ℃/s during the sleeve penetration phase. A softened weld region was produced via refill FSSW process, the hardness profile exhibited a W-shaped appearance along middle thickness of top Al alloy. The weld lap shear load was insensitive to the welding condition, whose scatter was rather small. The fracture path exclusively propagated along the IMCs layer of Cu9Al4 under the external lap shear loadings, both CuAl2 and Cu9Al4 were detected on the fractured surface on the copper side. This research indicated that acceptable weld strength can be achieved via pure metallurgical joining mechanism, which has significant potential for the industrial applications.
2021, 34: 85.
doi: 10.1186/s10033-021-00606-y
Abstract:
Compliant micromechanisms (CMMs) acquire mobility from the deflection of elastic members and have been proven to be robust by millions of silicon MEMS devices. However, the limited deflection of silicon impedes the realization of more sophisticated CMMs, which often require larger deflections. Recently, some novel manufacturing processes have emerged but are not well known by the community. In this paper, the realization of CMMs is reviewed, aiming to provide help to mechanical designers to quickly find the proper realization method for their CMM designs. To this end, the literature surveyed was classified and statistically analyzed, and representative processes were summarized individually to reflect the state of the art of CMM manufacturing. Furthermore, the features of each process were collected into tables to facilitate the reference of readers, and the guidelines for process selection were discussed. The review results indicate that, even though the silicon process remains dominant, great progress has been made in the development of polymer-related and composite-related processes, such as micromolding, SU-8 process, laser ablation, 3D printing, and the CNT frameworking. These processes result in constituent materials with a lower Young's modulus and larger maximum allowable strain than silicon, and therefore allow larger deflection. The geometrical capabilities (e.g., aspect ratio) of the realization methods should also be considered, because different types of CMMs have different requirements. We conclude that the SU-8 process, 3D printing, and carbon nanotube frameworking will play more important roles in the future owing to their excellent comprehensive capabilities.
Compliant micromechanisms (CMMs) acquire mobility from the deflection of elastic members and have been proven to be robust by millions of silicon MEMS devices. However, the limited deflection of silicon impedes the realization of more sophisticated CMMs, which often require larger deflections. Recently, some novel manufacturing processes have emerged but are not well known by the community. In this paper, the realization of CMMs is reviewed, aiming to provide help to mechanical designers to quickly find the proper realization method for their CMM designs. To this end, the literature surveyed was classified and statistically analyzed, and representative processes were summarized individually to reflect the state of the art of CMM manufacturing. Furthermore, the features of each process were collected into tables to facilitate the reference of readers, and the guidelines for process selection were discussed. The review results indicate that, even though the silicon process remains dominant, great progress has been made in the development of polymer-related and composite-related processes, such as micromolding, SU-8 process, laser ablation, 3D printing, and the CNT frameworking. These processes result in constituent materials with a lower Young's modulus and larger maximum allowable strain than silicon, and therefore allow larger deflection. The geometrical capabilities (e.g., aspect ratio) of the realization methods should also be considered, because different types of CMMs have different requirements. We conclude that the SU-8 process, 3D printing, and carbon nanotube frameworking will play more important roles in the future owing to their excellent comprehensive capabilities.
2021, 34: 97.
doi: 10.1186/s10033-021-00613-z
Abstract:
Buried pipelines are an essential component of the urban infrastructure of modern cities. Traditional buried pipes are mainly made of metal materials. With the development of material science and technology in recent years, non-metallic pipes, such as plastic pipes, ceramic pipes, and concrete pipes, are increasingly taking the place of pipes made from metal in various pipeline networks such as water supply, drainage, heat, industry, oil, and gas. The location technologies for the location of the buried metal pipeline have become mature, but detection and location technologies for the non-metallic pipelines are still developing. In this paper, current trends and future perspectives of detection and location of buried non-metallic pipelines are summarized. Initially, this paper reviews and analyzes electromagnetic induction technologies, electromagnetic wave technologies, and other physics-based technologies. It then focuses on acoustic detection and location technologies, and finally introduces emerging technologies. Then the technical characteristics of each detection and location method have been compared, with their strengths and weaknesses identified. The current trends and future perspectives of each buried non-metallic pipeline detection and location technology have also been defined. Finally, some suggestions for the future development of buried non-metallic pipeline detection and location technologies are provided.
Buried pipelines are an essential component of the urban infrastructure of modern cities. Traditional buried pipes are mainly made of metal materials. With the development of material science and technology in recent years, non-metallic pipes, such as plastic pipes, ceramic pipes, and concrete pipes, are increasingly taking the place of pipes made from metal in various pipeline networks such as water supply, drainage, heat, industry, oil, and gas. The location technologies for the location of the buried metal pipeline have become mature, but detection and location technologies for the non-metallic pipelines are still developing. In this paper, current trends and future perspectives of detection and location of buried non-metallic pipelines are summarized. Initially, this paper reviews and analyzes electromagnetic induction technologies, electromagnetic wave technologies, and other physics-based technologies. It then focuses on acoustic detection and location technologies, and finally introduces emerging technologies. Then the technical characteristics of each detection and location method have been compared, with their strengths and weaknesses identified. The current trends and future perspectives of each buried non-metallic pipeline detection and location technology have also been defined. Finally, some suggestions for the future development of buried non-metallic pipeline detection and location technologies are provided.
2021, 34: 99.
doi: 10.1186/s10033-021-00612-0
Abstract:
Compared with conventional forming processes, ultrasonic-assisted forming technology with a high frequency and small amplitude can significantly improve the forming quality of materials. Owing to the advantages of reduced forming force, improved surface quality, avoidance of forming defects, and strengthened surface structure, ultrasonic-assisted forming technology has been applied to increasingly advanced forming processes, such as incremental forming, spinning, and micro-forming. However, in the ultrasonic-assisted forming process, there are multiple ultrasonic mechanisms, such as the volume effect and surface effect. The explanation of the effect of ultrasonic vibration (UV) on plastic deformation remains controversial, hindering the development of related technologies. Recently, many researchers have proposed many new theories and technologies for ultrasonic-assisted forming. To summarize these developments, systematic discussions on mechanisms, theoretical models, and forming performances are provided in this review. On this basis, the limitations of the current study are discussed. In addition, an outlook for ultrasonic-assisted forming is proposed: efficient and stable UV systems, difficulty forming components with complex geometry, explanation of the in-depth mechanism, a systematic theoretical prediction model, and multi-field-coupling energy-assisted forming are considered to be hot spots in future studies. The present review enhances existing knowledge of ultrasonic-assisted forming, and facilitates a fast reference for related researchers.
Compared with conventional forming processes, ultrasonic-assisted forming technology with a high frequency and small amplitude can significantly improve the forming quality of materials. Owing to the advantages of reduced forming force, improved surface quality, avoidance of forming defects, and strengthened surface structure, ultrasonic-assisted forming technology has been applied to increasingly advanced forming processes, such as incremental forming, spinning, and micro-forming. However, in the ultrasonic-assisted forming process, there are multiple ultrasonic mechanisms, such as the volume effect and surface effect. The explanation of the effect of ultrasonic vibration (UV) on plastic deformation remains controversial, hindering the development of related technologies. Recently, many researchers have proposed many new theories and technologies for ultrasonic-assisted forming. To summarize these developments, systematic discussions on mechanisms, theoretical models, and forming performances are provided in this review. On this basis, the limitations of the current study are discussed. In addition, an outlook for ultrasonic-assisted forming is proposed: efficient and stable UV systems, difficulty forming components with complex geometry, explanation of the in-depth mechanism, a systematic theoretical prediction model, and multi-field-coupling energy-assisted forming are considered to be hot spots in future studies. The present review enhances existing knowledge of ultrasonic-assisted forming, and facilitates a fast reference for related researchers.
2021, 34: 112.
doi: 10.1186/s10033-021-00629-5
Abstract:
Deep learning has become an extremely popular method in recent years, and can be a powerful tool in complex, prior-knowledge-required areas, especially in the field of biomedicine, which is now facing the problem of inadequate medical resources. The application of deep learning in disease diagnosis has become a new research topic in dermatology. This paper aims to provide a quick review of the classification of skin disease using deep learning to summarize the characteristics of skin lesions and the status of image technology. We study the characteristics of skin disease and review the research on skin disease classification using deep learning. We analyze these studies using datasets, data processing, classification models, and evaluation criteria. We summarize the development of this field, illustrate the key steps and influencing factors of dermatological diagnosis, and identify the challenges and opportunities at this stage. Our research confirms that a skin disease recognition method based on deep learning can be superior to professional dermatologists in specific scenarios and has broad research prospects.
Deep learning has become an extremely popular method in recent years, and can be a powerful tool in complex, prior-knowledge-required areas, especially in the field of biomedicine, which is now facing the problem of inadequate medical resources. The application of deep learning in disease diagnosis has become a new research topic in dermatology. This paper aims to provide a quick review of the classification of skin disease using deep learning to summarize the characteristics of skin lesions and the status of image technology. We study the characteristics of skin disease and review the research on skin disease classification using deep learning. We analyze these studies using datasets, data processing, classification models, and evaluation criteria. We summarize the development of this field, illustrate the key steps and influencing factors of dermatological diagnosis, and identify the challenges and opportunities at this stage. Our research confirms that a skin disease recognition method based on deep learning can be superior to professional dermatologists in specific scenarios and has broad research prospects.
2021, 34: 118.
doi: 10.1186/s10033-021-00631-x
Abstract:
Fatigue performance is a serious concern for mechanical components subject to cyclical stresses, particularly where safety is paramount. The fatigue performance of components relies closely on their surface integrity because the fatigue cracks generally initiate from free surfaces. This paper reviewed the published data, which addressed the effects of machined surface integrity on the fatigue performance of metal workpieces. Limitations in existing studies and the future directions in anti-fatigue manufacturing field were proposed. The remarkable surface topography (e.g., low roughness and few local defects and inclusions) and large compressive residual stress are beneficial to fatigue performance. However, the indicators that describe the effects of surface topography and residual stress accurately need further study and exploration. The effect of residual stress relaxation under cycle loadings needs to be precisely modeled precisely. The effect of work hardening on fatigue performance had two aspects. Work hardening could increase the material yield strength, thereby delaying crack nucleation. However, increased brittleness could accelerate crack propagation. Thus, finding the effective control mechanism and method of work hardening is urgently needed to enhance the fatigue performance of machined components. The machining-induced metallurgical structure changes, such as white layer, grain refinement, dislocation, and martensitic transformation affect the fatigue performance of a workpiece significantly. However, the unified and exact conclusion needs to be investigated deeply. Finally, different surface integrity factors had complicated reciprocal effects on fatigue performance. As such, studying the comprehensive influence of surface integrity further and establishing the reliable prediction model of workpiece fatigue performance are meaningful for improving reliability of components and reducing test cost.
Fatigue performance is a serious concern for mechanical components subject to cyclical stresses, particularly where safety is paramount. The fatigue performance of components relies closely on their surface integrity because the fatigue cracks generally initiate from free surfaces. This paper reviewed the published data, which addressed the effects of machined surface integrity on the fatigue performance of metal workpieces. Limitations in existing studies and the future directions in anti-fatigue manufacturing field were proposed. The remarkable surface topography (e.g., low roughness and few local defects and inclusions) and large compressive residual stress are beneficial to fatigue performance. However, the indicators that describe the effects of surface topography and residual stress accurately need further study and exploration. The effect of residual stress relaxation under cycle loadings needs to be precisely modeled precisely. The effect of work hardening on fatigue performance had two aspects. Work hardening could increase the material yield strength, thereby delaying crack nucleation. However, increased brittleness could accelerate crack propagation. Thus, finding the effective control mechanism and method of work hardening is urgently needed to enhance the fatigue performance of machined components. The machining-induced metallurgical structure changes, such as white layer, grain refinement, dislocation, and martensitic transformation affect the fatigue performance of a workpiece significantly. However, the unified and exact conclusion needs to be investigated deeply. Finally, different surface integrity factors had complicated reciprocal effects on fatigue performance. As such, studying the comprehensive influence of surface integrity further and establishing the reliable prediction model of workpiece fatigue performance are meaningful for improving reliability of components and reducing test cost.
2021, 34: 133.
doi: 10.1186/s10033-021-00639-3
Abstract:
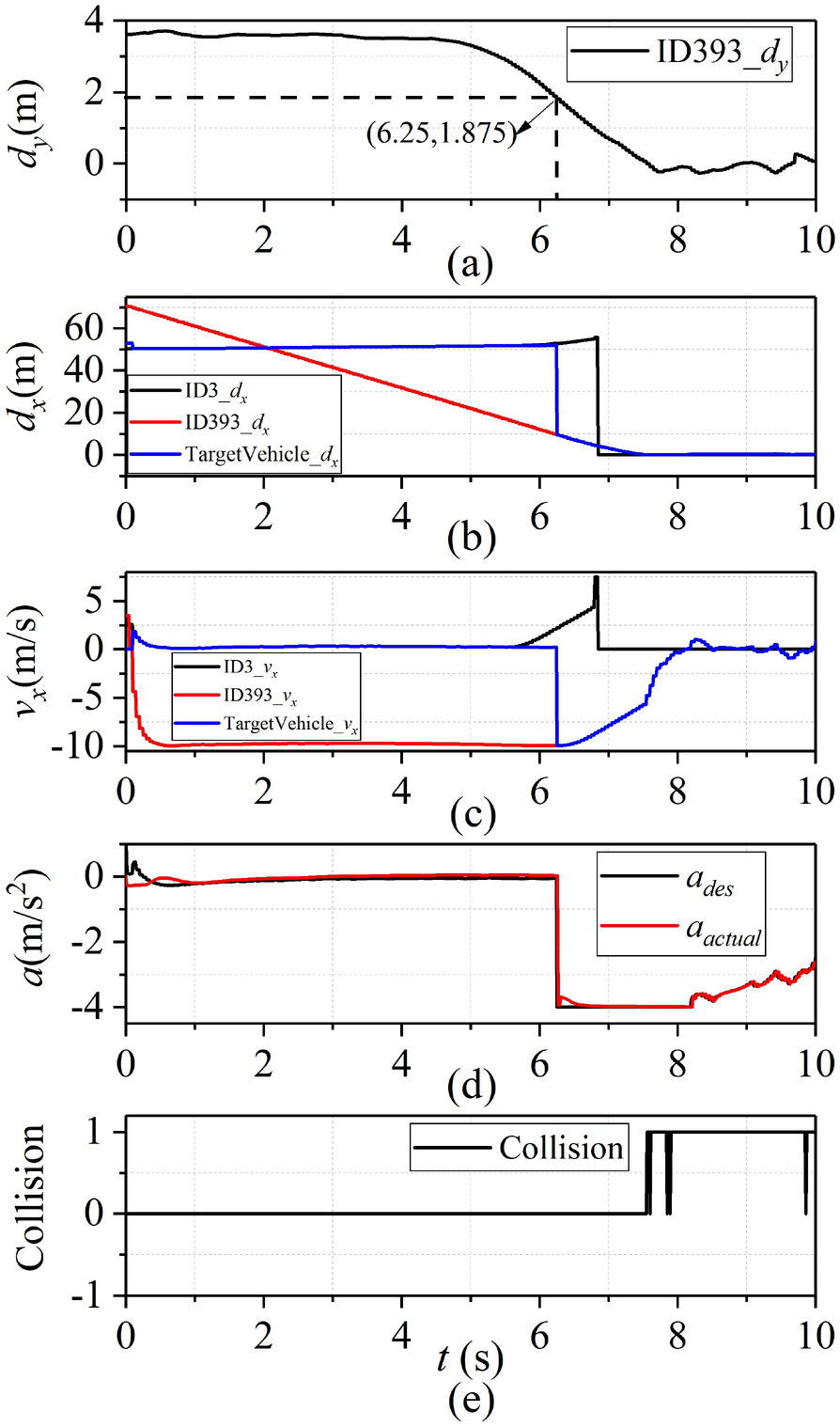
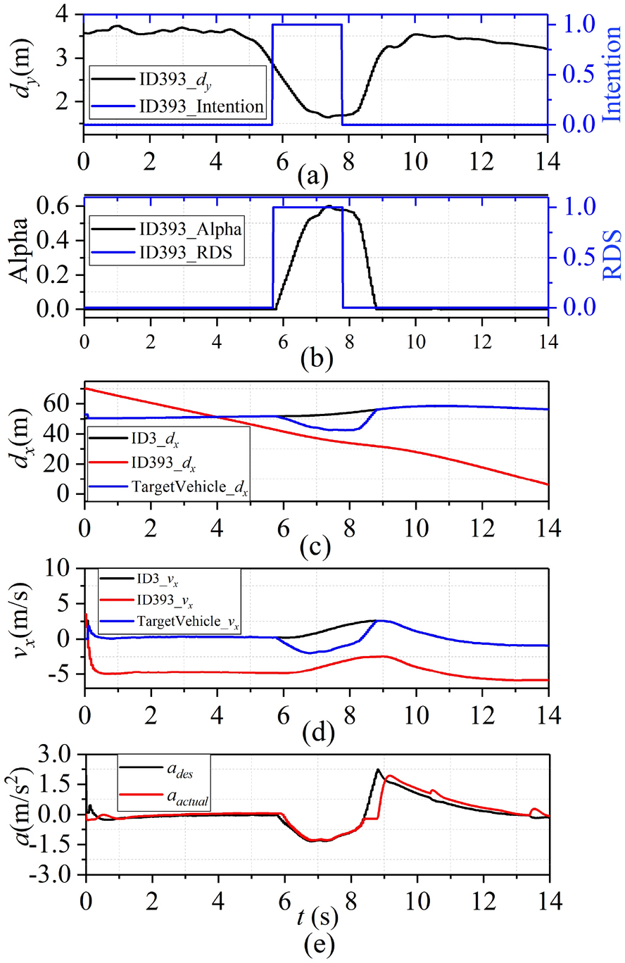
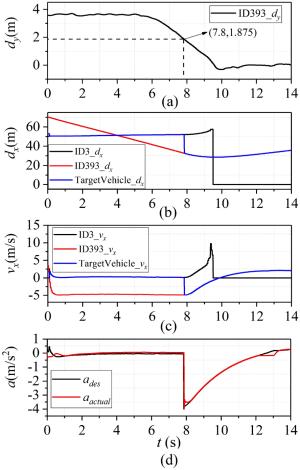
Planning and decision-making technology at intersections is a comprehensive research problem in intelligent transportation systems due to the uncertainties caused by a variety of traffic participants. As wireless communication advances, vehicle infrastructure integrated algorithms designed for intersection planning and decision-making have received increasing attention. In this paper, the recent studies on the planning and decision-making technologies at intersections are primarily overviewed. The general planning and decision-making approaches are presented, which include graph-based approach, prediction base approach, optimization-based approach and machine learning based approach. Since connected autonomous vehicles (CAVs) is the future direction for the automated driving area, we summarized the evolving planning and decision-making methods based on vehicle infrastructure cooperative technologies. Both four-way signalized and unsignalized intersection(s) are investigated under purely automated driving traffic and mixed traffic. The study benefit from current strategies, protocols, and simulation tools to help researchers identify the presented approaches’ challenges and determine the research gaps, and several remaining possible research problems that need to be solved in the future.
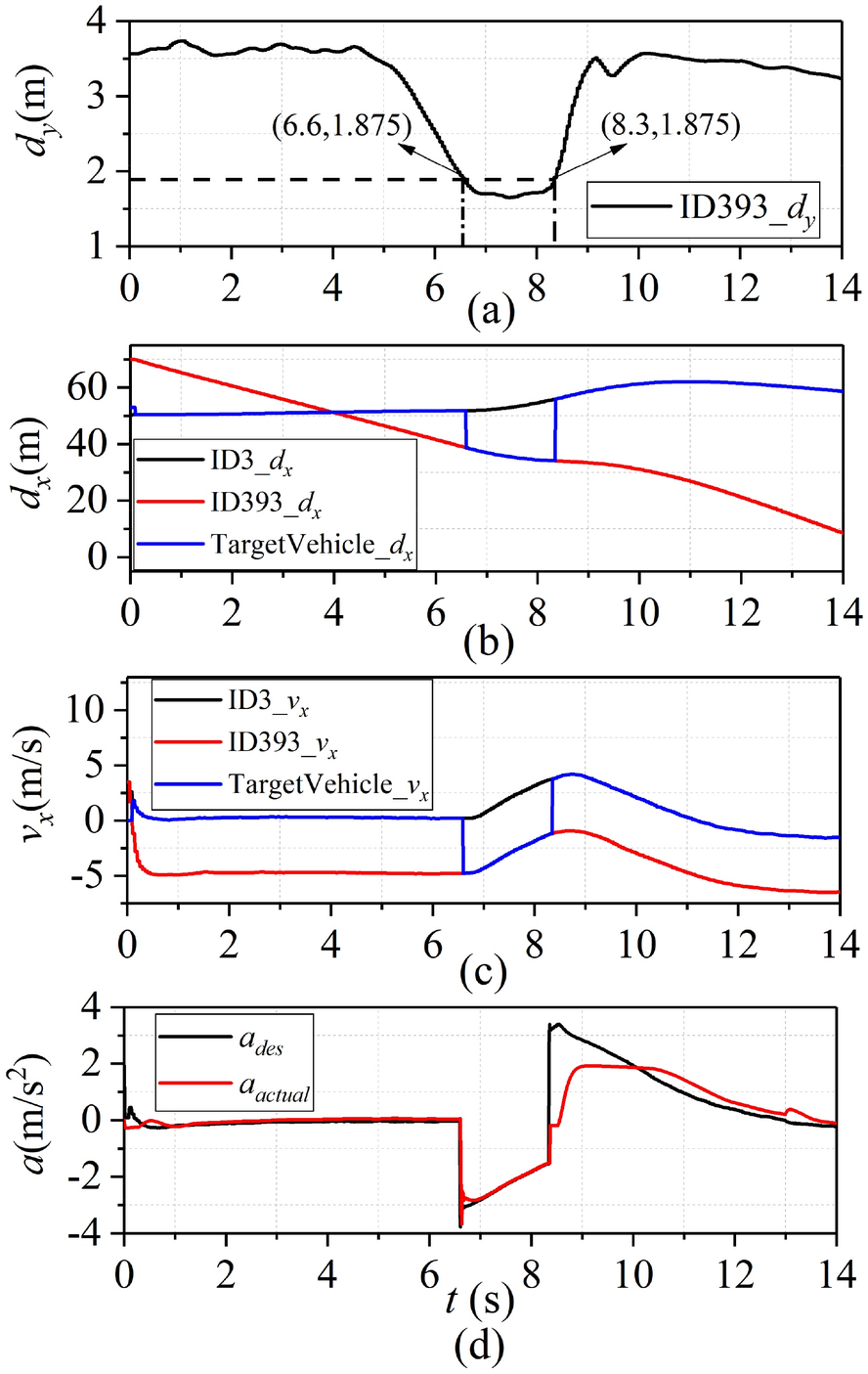
Planning and decision-making technology at intersections is a comprehensive research problem in intelligent transportation systems due to the uncertainties caused by a variety of traffic participants. As wireless communication advances, vehicle infrastructure integrated algorithms designed for intersection planning and decision-making have received increasing attention. In this paper, the recent studies on the planning and decision-making technologies at intersections are primarily overviewed. The general planning and decision-making approaches are presented, which include graph-based approach, prediction base approach, optimization-based approach and machine learning based approach. Since connected autonomous vehicles (CAVs) is the future direction for the automated driving area, we summarized the evolving planning and decision-making methods based on vehicle infrastructure cooperative technologies. Both four-way signalized and unsignalized intersection(s) are investigated under purely automated driving traffic and mixed traffic. The study benefit from current strategies, protocols, and simulation tools to help researchers identify the presented approaches’ challenges and determine the research gaps, and several remaining possible research problems that need to be solved in the future.
2021, 34: 137.
doi: 10.1186/s10033-021-00655-3
Abstract:
Friction Stir Welding (FSW) is the most promising solid-state metals joining method introduced in this era. Compared to the conventional fusion welding methods, this FSW can produce joints with higher mechanical and metallurgical properties. Formerly, FSW was adopted for low melting metals like aluminum alloys. In recent years it has made significant progress in friction stir welding of steels since unfavourable phase transformations occurred in welds due to the melting of the parent and filler metals in fusion welding can be eliminated. The main advantage of FSW over traditional fusion welding is the reduction in the heat-affected zone (HAZ), and the joints exhibit excellent mechanical and corrosion resistance properties. This article reviews the progress in the relevant issues such as the FSW tool materials and tool profiles for joining steels, microstructure and mechanical properties of steels joints, special problems in joining dissimilar steels. Moreover, in-situ heating sources was used to overcome the main limitations in FSW of hard metals and their alloys, i.e., tool damages and insufficient heat generation. Different in-situ heating sources like laser, induction heat, gas tungsten arc welding assisted FSW for various types of steels are introduced in this review. On the basis of the up-to-date status, some problems that need further investigation are put forward.
Friction Stir Welding (FSW) is the most promising solid-state metals joining method introduced in this era. Compared to the conventional fusion welding methods, this FSW can produce joints with higher mechanical and metallurgical properties. Formerly, FSW was adopted for low melting metals like aluminum alloys. In recent years it has made significant progress in friction stir welding of steels since unfavourable phase transformations occurred in welds due to the melting of the parent and filler metals in fusion welding can be eliminated. The main advantage of FSW over traditional fusion welding is the reduction in the heat-affected zone (HAZ), and the joints exhibit excellent mechanical and corrosion resistance properties. This article reviews the progress in the relevant issues such as the FSW tool materials and tool profiles for joining steels, microstructure and mechanical properties of steels joints, special problems in joining dissimilar steels. Moreover, in-situ heating sources was used to overcome the main limitations in FSW of hard metals and their alloys, i.e., tool damages and insufficient heat generation. Different in-situ heating sources like laser, induction heat, gas tungsten arc welding assisted FSW for various types of steels are introduced in this review. On the basis of the up-to-date status, some problems that need further investigation are put forward.
2021, 34: 139.
doi: 10.1186/s10033-021-00638-4
Abstract:
The electrification of vehicle helps to improve its operation efficiency and safety. Due to fast development of network, sensors, as well as computing technology, it becomes realizable to have vehicles driving autonomously. To achieve autonomous driving, several steps, including environment perception, path-planning, and dynamic control, need to be done. However, vehicles equipped with on-board sensors still have limitations in acquiring necessary environmental data for optimal driving decisions. Intelligent and connected vehicles (ICV) cloud control system (CCS) has been introduced as a new concept as it is a potentially synthetic solution for high level automated driving to improve safety and optimize traffic flow in intelligent transportation. This paper systematically investigated the concept of cloud control system from cloud related applications on ICVs, and cloud control system architecture design, as well as its core technologies development. Based on the analysis, the challenges and suggestions on cloud control system development have been addressed.
The electrification of vehicle helps to improve its operation efficiency and safety. Due to fast development of network, sensors, as well as computing technology, it becomes realizable to have vehicles driving autonomously. To achieve autonomous driving, several steps, including environment perception, path-planning, and dynamic control, need to be done. However, vehicles equipped with on-board sensors still have limitations in acquiring necessary environmental data for optimal driving decisions. Intelligent and connected vehicles (ICV) cloud control system (CCS) has been introduced as a new concept as it is a potentially synthetic solution for high level automated driving to improve safety and optimize traffic flow in intelligent transportation. This paper systematically investigated the concept of cloud control system from cloud related applications on ICVs, and cloud control system architecture design, as well as its core technologies development. Based on the analysis, the challenges and suggestions on cloud control system development have been addressed.
2021, 34: 3.
doi: 10.1186/s10033-020-00527-2
Abstract:
The existing research on SiCp/Al composite machining mainly focuses on the machining parameters or surface morphology. However, the surface quality of SiCp/Al composites with a high volume fraction has not been extensively studied. In this study, 32 SiCp/Al specimens with a high volume fraction were prepared and their machining parameters measured. The surface quality of the specimens was then tested and the effect of the grinding parameters on the surface quality was analyzed. The grinding quality of the composite specimens was comprehensively analyzed taking the grinding force, friction coefficient, and roughness parameters as the evaluation standards. The best grinding parameters were obtained by analyzing the surface morphology. The results show that, a higher spindle speed should be chosen to obtain a better surface quality. The final surface quality is related to the friction coefficient, surface roughness, and fragmentation degree as well as the quantity and distribution of the defects. Lower feeding amount, lower grinding depth and appropriately higher spindle speed should be chosen to obtain better surface quality. Lower feeding amount, higher grinding depth and spindle speed should be chosen to balance grind efficiently and surface quality. This study proposes a systematic evaluation method, which can be used to guide the machining of SiCp/Al composites with a high volume fraction.
The existing research on SiCp/Al composite machining mainly focuses on the machining parameters or surface morphology. However, the surface quality of SiCp/Al composites with a high volume fraction has not been extensively studied. In this study, 32 SiCp/Al specimens with a high volume fraction were prepared and their machining parameters measured. The surface quality of the specimens was then tested and the effect of the grinding parameters on the surface quality was analyzed. The grinding quality of the composite specimens was comprehensively analyzed taking the grinding force, friction coefficient, and roughness parameters as the evaluation standards. The best grinding parameters were obtained by analyzing the surface morphology. The results show that, a higher spindle speed should be chosen to obtain a better surface quality. The final surface quality is related to the friction coefficient, surface roughness, and fragmentation degree as well as the quantity and distribution of the defects. Lower feeding amount, lower grinding depth and appropriately higher spindle speed should be chosen to obtain better surface quality. Lower feeding amount, higher grinding depth and spindle speed should be chosen to balance grind efficiently and surface quality. This study proposes a systematic evaluation method, which can be used to guide the machining of SiCp/Al composites with a high volume fraction.
2021, 34: 4.
doi: 10.1186/s10033-020-00518-3
Abstract:
With the continuous expansion of the application range of microelectromechanical systems, microdevice forming technology has achieved remarkable results. However, it is challenging to develop new microforming processes that are low cost, environmentally friendly, and highly flexible; the high-energy shock wave in a cavitation bubble's collapse process is used as the loading force. Herein, a new process for the microbulging of the water-jet cavitation is proposed. A series of experiments involving the water-jet cavitation shock microbulging process for TA2 titanium foil is performed on an experimental system. The microforming feasibility of the water-jet cavitation is investigated by characterizing the shape of the formed part. Subsequently, the effects of the main parameters of the water-jet cavitation on the bulging profile, forming depth, surface roughness, and bulging thickness distribution of TA2 titanium foil are revealed. The results show that the plastic deformation increases nonlinearly with the incident pressure. When the incident pressure is 20 MPa, the maximum deformation exceeds 240 μm, and the thickness thinning ratio changes within 10%. The microbulging feasibility of water-jet cavitation is verified by this phenomenon.
With the continuous expansion of the application range of microelectromechanical systems, microdevice forming technology has achieved remarkable results. However, it is challenging to develop new microforming processes that are low cost, environmentally friendly, and highly flexible; the high-energy shock wave in a cavitation bubble's collapse process is used as the loading force. Herein, a new process for the microbulging of the water-jet cavitation is proposed. A series of experiments involving the water-jet cavitation shock microbulging process for TA2 titanium foil is performed on an experimental system. The microforming feasibility of the water-jet cavitation is investigated by characterizing the shape of the formed part. Subsequently, the effects of the main parameters of the water-jet cavitation on the bulging profile, forming depth, surface roughness, and bulging thickness distribution of TA2 titanium foil are revealed. The results show that the plastic deformation increases nonlinearly with the incident pressure. When the incident pressure is 20 MPa, the maximum deformation exceeds 240 μm, and the thickness thinning ratio changes within 10%. The microbulging feasibility of water-jet cavitation is verified by this phenomenon.
2021, 34: 12.
doi: 10.1186/s10033-020-00505-8
Abstract:
Double-suction centrifugal pumps have been applied extensively in many areas, and the significance of pressure fluctuations inside these pumps with large power is becoming increasingly important. In this study, a double-suction centrifugal pump with a high-demand for vibration and noise was redesigned by increasing the flow uniformity at the impeller discharge, implemented by combinations of more than two parameters. First, increasing the number of the impeller blades was intended to enhance the bounding effect that the blades imposed on the fluid. Subsequently, increasing the radial gap between the impeller and volute was applied to reduce the rotor-stator interaction. Finally, the staggered arrangement was optimized to weaken the efficacy of the interference superposition. Based on numerical simulation, the steady and unsteady characteristics of the pump models were calculated. From the fluctuation analysis in the frequency domain, the dimensionless pressure fluctuation amplitude at the blade passing frequency and its harmonics, located on the monitoring points in the redesigned pumps (both with larger radial gap), are reduced a lot. Further, in the volute of the model with new impellers staggered at 12°, the average value for the dimensionless pressure fluctuation amplitude decreases to 6% of that in prototype pump. The dimensionless root-mean-square pressure contour on the mid-span of the impeller tends to be more uniform in the redesigned models (both with larger radial gap); similarly, the pressure contour on the mid-section of the volute presents good uniformity in these models, which in turn demonstrating a reduction in the pressure fluctuation intensity. The results reveal the mechanism of pressure fluctuation reduction in a double-suction centrifugal pump, and the results of this study could provide a reference for pressure fluctuation reduction and vibration performance reinforcement of double-suction centrifugal pumps and other pumps.
Double-suction centrifugal pumps have been applied extensively in many areas, and the significance of pressure fluctuations inside these pumps with large power is becoming increasingly important. In this study, a double-suction centrifugal pump with a high-demand for vibration and noise was redesigned by increasing the flow uniformity at the impeller discharge, implemented by combinations of more than two parameters. First, increasing the number of the impeller blades was intended to enhance the bounding effect that the blades imposed on the fluid. Subsequently, increasing the radial gap between the impeller and volute was applied to reduce the rotor-stator interaction. Finally, the staggered arrangement was optimized to weaken the efficacy of the interference superposition. Based on numerical simulation, the steady and unsteady characteristics of the pump models were calculated. From the fluctuation analysis in the frequency domain, the dimensionless pressure fluctuation amplitude at the blade passing frequency and its harmonics, located on the monitoring points in the redesigned pumps (both with larger radial gap), are reduced a lot. Further, in the volute of the model with new impellers staggered at 12°, the average value for the dimensionless pressure fluctuation amplitude decreases to 6% of that in prototype pump. The dimensionless root-mean-square pressure contour on the mid-span of the impeller tends to be more uniform in the redesigned models (both with larger radial gap); similarly, the pressure contour on the mid-section of the volute presents good uniformity in these models, which in turn demonstrating a reduction in the pressure fluctuation intensity. The results reveal the mechanism of pressure fluctuation reduction in a double-suction centrifugal pump, and the results of this study could provide a reference for pressure fluctuation reduction and vibration performance reinforcement of double-suction centrifugal pumps and other pumps.
2021, 34: 19.
doi: 10.1186/s10033-021-00540-z
Abstract:
A novel two-dimensional ultrasonic surface burnishing process (2D-USBP) is proposed. 7075-T6 aluminum samples are processed by a custom-designed 2D-USBP setup. Parameter optimization of 2D-USBP is conducted to determine the best processing strategy of 7075-T6 aluminum. A uniform design method is utilized to optimize the 2D-USBP process. U13(133) and U7(72) tables are established to conduct parameter optimization. Burnishing depth, spindle speed, and feed rate are taken as the control parameters. The surface roughness and Vickers hardness are taken as the evaluation indicators. It establishes the active control models for surface quality. Dry wear tests are conducted to compare the wear-resistance of the 2D-USBP treated sample and the original sample. Results show that the machining quality of 2D-USBP is best under 0.24 mm burnishing depth, 5000 r/min spindle speed, and 25 mm/min feed rate. The surface roughness Sa of the sample is reduced from 2517.758 to 50.878 nm, and the hardness of the sample surface is improved from 167 to 252 HV. Under the lower load, the wear mechanism of the 2D-USBP treated sample is mainly abrasive wear accompanied by delamination wear, while the wear mechanism of the original sample is mainly delamination wear. Under the higher load, the accumulation of frictional heat on the sample surface transforms the wear mechanisms of the original and the 2D-USBP treated samples into thermal wear.
A novel two-dimensional ultrasonic surface burnishing process (2D-USBP) is proposed. 7075-T6 aluminum samples are processed by a custom-designed 2D-USBP setup. Parameter optimization of 2D-USBP is conducted to determine the best processing strategy of 7075-T6 aluminum. A uniform design method is utilized to optimize the 2D-USBP process. U13(133) and U7(72) tables are established to conduct parameter optimization. Burnishing depth, spindle speed, and feed rate are taken as the control parameters. The surface roughness and Vickers hardness are taken as the evaluation indicators. It establishes the active control models for surface quality. Dry wear tests are conducted to compare the wear-resistance of the 2D-USBP treated sample and the original sample. Results show that the machining quality of 2D-USBP is best under 0.24 mm burnishing depth, 5000 r/min spindle speed, and 25 mm/min feed rate. The surface roughness Sa of the sample is reduced from 2517.758 to 50.878 nm, and the hardness of the sample surface is improved from 167 to 252 HV. Under the lower load, the wear mechanism of the 2D-USBP treated sample is mainly abrasive wear accompanied by delamination wear, while the wear mechanism of the original sample is mainly delamination wear. Under the higher load, the accumulation of frictional heat on the sample surface transforms the wear mechanisms of the original and the 2D-USBP treated samples into thermal wear.
2021, 34: 27.
doi: 10.1186/s10033-021-00543-w
Abstract:
The traditional modeling method of rotor system with a slant crack considers only integer-order calculus. However, the model of rotor system based on integer-order calculus can merely describe local characteristics, not historical dependent process. The occur of fractional order calculus just makes up for the deficiency in integer-order calculus. Therefore, a new dynamic model with a slant crack based on fractional damping is proposed. Here, the stiffness of rotor system with a slant crack is solved by zero stress intensity factor method. The proposed model is simulated by Runge-Kutta method and continued fraction Euler method. The influence of the fractional order, rotating speed, and crack depth on the dynamic characteristics of rotor system is discussed. The simulation results show that the amplitude of torsional excitation frequency increases significantly with the increase of the fractional order. With the increase of the rotating speed, the amplitude of first harmonic component becomes gradually larger, the amplitude of the second harmonic becomes smaller, while the amplitude of the other frequency components is almost invariant. The shaft orbit changes gradually from an internal 8-type shape to an ellipse-type shape without overlapping. With the increase of the slant crack depth, the amplitude of the transverse response frequency in the rotor system with a slant crack increases, and the amplitude in the second harmonic component also increases significantly. In addition, the torsional excitation frequency and other coupling frequency components also occur. The proposed model is further verified by the experiment. The valuable conclusion can provide an important guideline for the fault diagnosis of rotor system with a slant crack.
The traditional modeling method of rotor system with a slant crack considers only integer-order calculus. However, the model of rotor system based on integer-order calculus can merely describe local characteristics, not historical dependent process. The occur of fractional order calculus just makes up for the deficiency in integer-order calculus. Therefore, a new dynamic model with a slant crack based on fractional damping is proposed. Here, the stiffness of rotor system with a slant crack is solved by zero stress intensity factor method. The proposed model is simulated by Runge-Kutta method and continued fraction Euler method. The influence of the fractional order, rotating speed, and crack depth on the dynamic characteristics of rotor system is discussed. The simulation results show that the amplitude of torsional excitation frequency increases significantly with the increase of the fractional order. With the increase of the rotating speed, the amplitude of first harmonic component becomes gradually larger, the amplitude of the second harmonic becomes smaller, while the amplitude of the other frequency components is almost invariant. The shaft orbit changes gradually from an internal 8-type shape to an ellipse-type shape without overlapping. With the increase of the slant crack depth, the amplitude of the transverse response frequency in the rotor system with a slant crack increases, and the amplitude in the second harmonic component also increases significantly. In addition, the torsional excitation frequency and other coupling frequency components also occur. The proposed model is further verified by the experiment. The valuable conclusion can provide an important guideline for the fault diagnosis of rotor system with a slant crack.
2021, 34: 33.
doi: 10.1186/s10033-021-00544-9
Abstract:
Current studies on cable harness layouts have mainly focused on cable harness route planning. However, the topological structure of a cable harness is also extremely complex, and the branch structure of the cable harness can affect the route of the cable harness layout. The topological structure design of the cable harness is a key to such a layout. In this paper, a novel multi-branch cable harness layout design method is presented, which unites the probabilistic roadmap method (PRM) and the genetic algorithm. First, the engineering constraints of the cable harness layout are presented. An obstacle-based PRM used to construct non-interference and near to the surface roadmap is then described. In addition, a new genetic algorithm is proposed, and the algorithm structure of which is redesigned. In addition, the operation probability formula related to fitness is proposed to promote the efficiency of the branch structure design of the cable harness. A prototype system of a cable harness layout design was developed based on the method described in this study, and the method is applied to two scenarios to verify that a quality cable harness layout can be efficiently obtained using the proposed method. In summary, the cable harness layout design method described in this study can be used to quickly design a reasonable topological structure of a cable harness and to search for the corresponding routes of such a harness.
Current studies on cable harness layouts have mainly focused on cable harness route planning. However, the topological structure of a cable harness is also extremely complex, and the branch structure of the cable harness can affect the route of the cable harness layout. The topological structure design of the cable harness is a key to such a layout. In this paper, a novel multi-branch cable harness layout design method is presented, which unites the probabilistic roadmap method (PRM) and the genetic algorithm. First, the engineering constraints of the cable harness layout are presented. An obstacle-based PRM used to construct non-interference and near to the surface roadmap is then described. In addition, a new genetic algorithm is proposed, and the algorithm structure of which is redesigned. In addition, the operation probability formula related to fitness is proposed to promote the efficiency of the branch structure design of the cable harness. A prototype system of a cable harness layout design was developed based on the method described in this study, and the method is applied to two scenarios to verify that a quality cable harness layout can be efficiently obtained using the proposed method. In summary, the cable harness layout design method described in this study can be used to quickly design a reasonable topological structure of a cable harness and to search for the corresponding routes of such a harness.
2021, 34: 39.
doi: 10.1186/s10033-021-00557-4
Abstract:
Penetration and non-penetration lap laser welding is the joining method for assembling side facade panels of railway passenger cars, while their fatigue performances and the difference between them are not completely understood. In this study, the fatigue resistance and failure behavior of penetration 1.5+0.8-P and non-penetration 0.8+1.5-N laser welded lap joints prepared with 0.8 mm and 1.5 mm cold-rolled 301L plates were investigated. The weld beads showed a solidification microstructure of primary ferrite with good thermal cracking resistance, and their hardness was lower than that of the plates. The 1.5+0.8-P joint exhibited better fatigue resistance to low stress amplitudes, whereas the 0.8+1.5-N joint showed greater resistance to high stress amplitudes. The failure modes of 0.8+1.5-N and 1.5+0.8-P joints were 1.5 mm and 0.8 mm lower lap plate fracture, respectively, and the primary cracks were initiated at welding fusion lines on the lap surface. There were long plastic ribs on the penetration plate fracture, but not on the non-penetration plate fracture. The fatigue resistance stresses in the crack initiation area of the penetration and non-penetration plates calculated based on the mean fatigue limits are 408 MPa and 326 MPa, respectively, which can be used as reference stress for the fatigue design of the laser welded structures. The main reason for the difference in fatigue performance between the two laser welded joints was that the asymmetrical heating in the non-penetration plate thickness resulted in higher residual stress near the welding fusion line.
Penetration and non-penetration lap laser welding is the joining method for assembling side facade panels of railway passenger cars, while their fatigue performances and the difference between them are not completely understood. In this study, the fatigue resistance and failure behavior of penetration 1.5+0.8-P and non-penetration 0.8+1.5-N laser welded lap joints prepared with 0.8 mm and 1.5 mm cold-rolled 301L plates were investigated. The weld beads showed a solidification microstructure of primary ferrite with good thermal cracking resistance, and their hardness was lower than that of the plates. The 1.5+0.8-P joint exhibited better fatigue resistance to low stress amplitudes, whereas the 0.8+1.5-N joint showed greater resistance to high stress amplitudes. The failure modes of 0.8+1.5-N and 1.5+0.8-P joints were 1.5 mm and 0.8 mm lower lap plate fracture, respectively, and the primary cracks were initiated at welding fusion lines on the lap surface. There were long plastic ribs on the penetration plate fracture, but not on the non-penetration plate fracture. The fatigue resistance stresses in the crack initiation area of the penetration and non-penetration plates calculated based on the mean fatigue limits are 408 MPa and 326 MPa, respectively, which can be used as reference stress for the fatigue design of the laser welded structures. The main reason for the difference in fatigue performance between the two laser welded joints was that the asymmetrical heating in the non-penetration plate thickness resulted in higher residual stress near the welding fusion line.
2021, 34: 43.
doi: 10.1186/s10033-021-00562-7
Abstract:
In this work it is assessed the potential of combining conventional and incremental sheet forming processes in a same sheet of metal. This so-called hybrid forming approach is performed through the manufacture of a pre-forming by conventional forming, followed by incremental sheet forming. The main objective is analyzing strain evolution. The pre-forming induced in the conventional forming stage will determine the strain paths, directly influencing the strains produced by the incremental process. To conduct the study, in the conventional processes, strains were imposed in three different ways with distinct true strains. At the incremental stage, the pyramid strategy was adopted with different wall slopes. From the experiments, the true strains and the final geometries were analyzed. Numerical simulation was also employed for the sake of comparison and correlation with the measured data. It could be observed that single-stretch pre-strain was directly proportional to the maximum incremental strains achieved, whereas samples subjected to biaxial pre-strain influenced the formability according to the degree of pre-strain applied. Pre-strain driven by the prior deep-drawing operation did not result, in this particular geometry, in increased formability.
In this work it is assessed the potential of combining conventional and incremental sheet forming processes in a same sheet of metal. This so-called hybrid forming approach is performed through the manufacture of a pre-forming by conventional forming, followed by incremental sheet forming. The main objective is analyzing strain evolution. The pre-forming induced in the conventional forming stage will determine the strain paths, directly influencing the strains produced by the incremental process. To conduct the study, in the conventional processes, strains were imposed in three different ways with distinct true strains. At the incremental stage, the pyramid strategy was adopted with different wall slopes. From the experiments, the true strains and the final geometries were analyzed. Numerical simulation was also employed for the sake of comparison and correlation with the measured data. It could be observed that single-stretch pre-strain was directly proportional to the maximum incremental strains achieved, whereas samples subjected to biaxial pre-strain influenced the formability according to the degree of pre-strain applied. Pre-strain driven by the prior deep-drawing operation did not result, in this particular geometry, in increased formability.
2021, 34: 45.
doi: 10.1186/s10033-021-00560-9
Abstract:
Three-beam laser internal coaxial wire feeding cladding is regarded as a promising additive manufacturing technique because it is highly efficient and controllable. In this study, the effects of the defocus distance on cladding using a three-beam laser with internal wire feeding are experimentally and numerically studied. A process map indicating the surface characteristics at different defocus distances with various parameter combinations was developed. The transmission characteristics including laser intensity, beam size, and laser spot distance of the three-beam laser at different defocus distances were analyzed using TracePro software. Based on the TracePro results as heat source, a three-dimensional transient finite element (FE) thermal model was formulated to predict the thermal field, temperature history and molten pool shape at different defocus distances. A molten pool with a flat bottom and low melting depth is generated when the defocus distance is -2.5 mm, whereas when this distance is -1.5 mm, a pool with a valley-shaped bond and high melting depth is formed. The simulated results of the temperature cycle and clad geometry are both validated and found to well agree with experimental measurements. The influence of the defocus distance on the microstructure and microhardness are discussed based on the temperature history and cooling rate. With the increase in the absolute defocus distance, the height and dilution of the clad decreased, whereas the width increased. In addition, the effects of defocus distance with various parameter combinations on clad geometry were explored using the formulated FE model.
Three-beam laser internal coaxial wire feeding cladding is regarded as a promising additive manufacturing technique because it is highly efficient and controllable. In this study, the effects of the defocus distance on cladding using a three-beam laser with internal wire feeding are experimentally and numerically studied. A process map indicating the surface characteristics at different defocus distances with various parameter combinations was developed. The transmission characteristics including laser intensity, beam size, and laser spot distance of the three-beam laser at different defocus distances were analyzed using TracePro software. Based on the TracePro results as heat source, a three-dimensional transient finite element (FE) thermal model was formulated to predict the thermal field, temperature history and molten pool shape at different defocus distances. A molten pool with a flat bottom and low melting depth is generated when the defocus distance is -2.5 mm, whereas when this distance is -1.5 mm, a pool with a valley-shaped bond and high melting depth is formed. The simulated results of the temperature cycle and clad geometry are both validated and found to well agree with experimental measurements. The influence of the defocus distance on the microstructure and microhardness are discussed based on the temperature history and cooling rate. With the increase in the absolute defocus distance, the height and dilution of the clad decreased, whereas the width increased. In addition, the effects of defocus distance with various parameter combinations on clad geometry were explored using the formulated FE model.
2021, 34: 46.
doi: 10.1186/s10033-021-00561-8
Abstract:
The coating material of a tool directly affects the efficiency and cost of machining malleable cast iron. However, the machining adaptability of various coating materials to malleable cast iron has been insufficiently researched. In this paper, turning tests were conducted on cemented carbide tools with different coatings (a thick TiN/TiAlN coating, a thin TiN/TiAlN coating, and a nanocomposite (nc) TiAlSiN coating). All coatings were applied by physical vapor deposition. In a comparative study of chip morphology, cutting force, cutting temperature, specific cutting energy, tool wear, and surface roughness, this study analyzed the cutting characteristics of the tools coated with various materials, and established the relationship between the cutting parameters and machining objectives. The results showed that in malleable cast iron machining, the coating material significantly affects the cutting performance of the tool. Among the three tools, the nc-TiAlSiN-coated carbide tool achieved the minimum cutting force, the lowest cutting temperature, least tool wear, longest tool life, and best surface quality. Moreover, in comparisons between cemented-carbide and compacted-graphite cast iron machined under the same conditions, the wear mechanism of the coated tools was found to depend on the cast iron being machined. Therefore, the performance requirements of a tool depend on multiple factors, and selecting an appropriately coated tool for a particular cast iron material is essential.
The coating material of a tool directly affects the efficiency and cost of machining malleable cast iron. However, the machining adaptability of various coating materials to malleable cast iron has been insufficiently researched. In this paper, turning tests were conducted on cemented carbide tools with different coatings (a thick TiN/TiAlN coating, a thin TiN/TiAlN coating, and a nanocomposite (nc) TiAlSiN coating). All coatings were applied by physical vapor deposition. In a comparative study of chip morphology, cutting force, cutting temperature, specific cutting energy, tool wear, and surface roughness, this study analyzed the cutting characteristics of the tools coated with various materials, and established the relationship between the cutting parameters and machining objectives. The results showed that in malleable cast iron machining, the coating material significantly affects the cutting performance of the tool. Among the three tools, the nc-TiAlSiN-coated carbide tool achieved the minimum cutting force, the lowest cutting temperature, least tool wear, longest tool life, and best surface quality. Moreover, in comparisons between cemented-carbide and compacted-graphite cast iron machined under the same conditions, the wear mechanism of the coated tools was found to depend on the cast iron being machined. Therefore, the performance requirements of a tool depend on multiple factors, and selecting an appropriately coated tool for a particular cast iron material is essential.
2021, 34: 47.
doi: 10.1186/s10033-021-00567-2
Abstract:
Current research of binocular vision systems mainly need to resolve the camera's intrinsic parameters before the reconstruction of three-dimensional (3D) objects. The classical Zhang' calibration is hardly to calculate all errors caused by perspective distortion and lens distortion. Also, the image-matching algorithm of the binocular vision system still needs to be improved to accelerate the reconstruction speed of welding pool surfaces. In this paper, a preset coordinate system was utilized for camera calibration instead of Zhang' calibration. The binocular vision system was modified to capture images of welding pool surfaces by suppressing the strong arc interference during gas metal arc welding. Combining and improving the algorithms of speeded up robust features, binary robust invariant scalable keypoints, and KAZE, the feature information of points (i.e., RGB values, pixel coordinates) was extracted as the feature vector of the welding pool surface. Based on the characteristics of the welding images, a mismatch-elimination algorithm was developed to increase the accuracy of image-matching algorithms. The world coordinates of matching feature points were calculated to reconstruct the 3D shape of the welding pool surface. The effectiveness and accuracy of the reconstruction of welding pool surfaces were verified by experimental results. This research proposes the development of binocular vision algorithms that can reconstruct the surface of welding pools accurately to realize intelligent welding control systems in the future.
Current research of binocular vision systems mainly need to resolve the camera's intrinsic parameters before the reconstruction of three-dimensional (3D) objects. The classical Zhang' calibration is hardly to calculate all errors caused by perspective distortion and lens distortion. Also, the image-matching algorithm of the binocular vision system still needs to be improved to accelerate the reconstruction speed of welding pool surfaces. In this paper, a preset coordinate system was utilized for camera calibration instead of Zhang' calibration. The binocular vision system was modified to capture images of welding pool surfaces by suppressing the strong arc interference during gas metal arc welding. Combining and improving the algorithms of speeded up robust features, binary robust invariant scalable keypoints, and KAZE, the feature information of points (i.e., RGB values, pixel coordinates) was extracted as the feature vector of the welding pool surface. Based on the characteristics of the welding images, a mismatch-elimination algorithm was developed to increase the accuracy of image-matching algorithms. The world coordinates of matching feature points were calculated to reconstruct the 3D shape of the welding pool surface. The effectiveness and accuracy of the reconstruction of welding pool surfaces were verified by experimental results. This research proposes the development of binocular vision algorithms that can reconstruct the surface of welding pools accurately to realize intelligent welding control systems in the future.
2021, 34: 58.
doi: 10.1186/s10033-021-00580-5
Abstract:
For a single-structure deep learning fault diagnosis model, its disadvantages are an insufficient feature extraction and weak fault classification capability. This paper proposes a multi-scale deep feature fusion intelligent fault diagnosis method based on information entropy. First, a normal autoencoder, denoising autoencoder, sparse autoencoder, and contractive autoencoder are used in parallel to construct a multi-scale deep neural network feature extraction structure. A deep feature fusion strategy based on information entropy is proposed to obtain low-dimensional features and ensure the robustness of the model and the quality of deep features. Finally, the advantage of the deep belief network probability model is used as the fault classifier to identify the faults. The effectiveness of the proposed method was verified by a gearbox test-bed. Experimental results show that, compared with traditional and existing intelligent fault diagnosis methods, the proposed method can obtain representative information and features from the raw data with higher classification accuracy.
For a single-structure deep learning fault diagnosis model, its disadvantages are an insufficient feature extraction and weak fault classification capability. This paper proposes a multi-scale deep feature fusion intelligent fault diagnosis method based on information entropy. First, a normal autoencoder, denoising autoencoder, sparse autoencoder, and contractive autoencoder are used in parallel to construct a multi-scale deep neural network feature extraction structure. A deep feature fusion strategy based on information entropy is proposed to obtain low-dimensional features and ensure the robustness of the model and the quality of deep features. Finally, the advantage of the deep belief network probability model is used as the fault classifier to identify the faults. The effectiveness of the proposed method was verified by a gearbox test-bed. Experimental results show that, compared with traditional and existing intelligent fault diagnosis methods, the proposed method can obtain representative information and features from the raw data with higher classification accuracy.
2021, 34: 59.
doi: 10.1186/s10033-021-00581-4
Abstract:
Wire arc additive manufacturing (WAAM) has been investigated to deposit large-scale metal parts due to its high deposition efficiency and low material cost. However, in the process of automatically manufacturing the high-quality metal parts by WAAM, several problems about the heat build-up, the deposit-path optimization, and the stability of the process parameters need to be well addressed. To overcome these issues, a new WAAM method based on the double electrode micro plasma arc welding (DE-MPAW) was designed. The circuit principles of different metal-transfer models in the DE-MPAW deposition process were analyzed theoretically. The effects between the parameters, wire feed rate and torch stand-off distance, in the process of WAAM were investigated experimentally. In addition, a real-time DE-MPAW control system was developed to optimize and stabilize the deposition process by self-adaptively changing the wire feed rate and torch stand-off distance. Finally, a series of tests were performed to evaluate the control system's performance. The results show that the capability against interferences in the process of WAAM has been enhanced by this self-adaptive adjustment system. Further, the deposition paths about the metal part's layer heights in WAAM are simplified. Finally, the appearance of the WAAM-deposited metal layers is also improved with the use of the control system.
Wire arc additive manufacturing (WAAM) has been investigated to deposit large-scale metal parts due to its high deposition efficiency and low material cost. However, in the process of automatically manufacturing the high-quality metal parts by WAAM, several problems about the heat build-up, the deposit-path optimization, and the stability of the process parameters need to be well addressed. To overcome these issues, a new WAAM method based on the double electrode micro plasma arc welding (DE-MPAW) was designed. The circuit principles of different metal-transfer models in the DE-MPAW deposition process were analyzed theoretically. The effects between the parameters, wire feed rate and torch stand-off distance, in the process of WAAM were investigated experimentally. In addition, a real-time DE-MPAW control system was developed to optimize and stabilize the deposition process by self-adaptively changing the wire feed rate and torch stand-off distance. Finally, a series of tests were performed to evaluate the control system's performance. The results show that the capability against interferences in the process of WAAM has been enhanced by this self-adaptive adjustment system. Further, the deposition paths about the metal part's layer heights in WAAM are simplified. Finally, the appearance of the WAAM-deposited metal layers is also improved with the use of the control system.
2021, 34: 61.
doi: 10.1186/s10033-021-00584-1
Abstract:
The peak identification scheme based method (three-point definition) and the spectral moments based method (spectral moment approach) are both widely used for asperity peak modeling in tribology. To discover the differences between the two methods, a great number of rough surface profile samples with various statistical distributions are first randomly generated using FFT. Then the distribution parameters of asperity peaks are calculated for the generated samples with both methods. The obtained results are compared and verified by experiment. The variation rules of the differences between the two methods with statistical characteristics of rough surfaces are investigated. To explain for the discovered differences, the assumptions by spectral moment approach that the joint distribution of surface height, slope and curvature is normal and that the height distribution of asperities is Gaussian, are examined. The results show that it is unreasonable to assume a joint normal distribution without inspecting the correlation pattern of [z], [z'] and [z"], and that the height distribution of asperities is not exactly Gaussian before correlation length of rough surface increases to a certain extent, 20 for instance.
The peak identification scheme based method (three-point definition) and the spectral moments based method (spectral moment approach) are both widely used for asperity peak modeling in tribology. To discover the differences between the two methods, a great number of rough surface profile samples with various statistical distributions are first randomly generated using FFT. Then the distribution parameters of asperity peaks are calculated for the generated samples with both methods. The obtained results are compared and verified by experiment. The variation rules of the differences between the two methods with statistical characteristics of rough surfaces are investigated. To explain for the discovered differences, the assumptions by spectral moment approach that the joint distribution of surface height, slope and curvature is normal and that the height distribution of asperities is Gaussian, are examined. The results show that it is unreasonable to assume a joint normal distribution without inspecting the correlation pattern of [z], [z'] and [z"], and that the height distribution of asperities is not exactly Gaussian before correlation length of rough surface increases to a certain extent, 20 for instance.
2021, 34: 63.
doi: 10.1186/s10033-021-00579-y
Abstract:
As a promising non-destructive testing (NDT) method, magnetic flux leakage (MFL) testing has been widely used for steel structure inspection. However, MFL testing still faces a great challenge to detect inner defects. Existing MFL course researches mainly focus on surface-breaking defects while that of inner defects is overlooked. In the paper, MFL course of inner defects is investigated by building magnetic circuit models, performing numerical simulations, and conducting MFL experiments. It is found that the near-surface wall has an enhancing effect on the MFL course due to higher permeability of steel than that of air. Further, a high-sensitivity MFL testing method consisting of Helmholtz coil magnetization and induction coil with a high permeability core is proposed to increase the detectable depth of inner defects. Experimental results show that inner defects with buried depth up to 80.0 mm can be detected, suggesting that the proposed MFL method has the potential to detect deeply-buried defects and has a promising future in the field of NDT.
As a promising non-destructive testing (NDT) method, magnetic flux leakage (MFL) testing has been widely used for steel structure inspection. However, MFL testing still faces a great challenge to detect inner defects. Existing MFL course researches mainly focus on surface-breaking defects while that of inner defects is overlooked. In the paper, MFL course of inner defects is investigated by building magnetic circuit models, performing numerical simulations, and conducting MFL experiments. It is found that the near-surface wall has an enhancing effect on the MFL course due to higher permeability of steel than that of air. Further, a high-sensitivity MFL testing method consisting of Helmholtz coil magnetization and induction coil with a high permeability core is proposed to increase the detectable depth of inner defects. Experimental results show that inner defects with buried depth up to 80.0 mm can be detected, suggesting that the proposed MFL method has the potential to detect deeply-buried defects and has a promising future in the field of NDT.
2021, 34: 67.
doi: 10.1186/s10033-021-00586-z
Abstract:
The Ti6Al4V parts produced by the existing selective laser melting (SLM) are mainly confronted with poor surface finish and inevitable interior defects, which substantially deteriorates the mechanical properties and performances of the parts. In this regard, ultrasonically-assisted machining (UAM) technique is commonly introduced to improve the machining quality due to its merits in increasing tool life and reducing cutting force. However, most of the previous studies focus on the performance of UAM with ultrasonic vibrations applied in the tangential and feed directions, whereas few of them on the impact of ultrasonic vibration along the vertical direction. In this study, the effects of feed rate on surface integrity in ultrasonically-assisted vertical milling (UAVM) of the Ti6Al4V alloy manufactured by SLM were systemically investigated compared with the conventional machining (CM) method. The results revealed that the milling forces in UAVM showed a lower amplitude than that in CM due to the intermittent cutting style. The surface roughness values of the parts produced by UAVM were generally greater than that by CM owing to the extra sinusoidal vibration textures induced by the milling cutter. Moreover, the extra vertical ultrasonic vibration in UAVM was beneficial to suppressing machining chatter. As feed rate increased, surface microhardness and thickness of the plastic deformation zone in CM raised due to more intensive plastic deformation, while these two material properties in UAVM were reduced owing to the mitigated impact effect by the high-frequency vibration of the milling cutter. Therefore, the improved surface microhardness and reduced thickness of the subsurface deformation layer in UAVM were ascribed to the vertical high-frequency impact of the milling cutter in UAVM. In general, the results of this study provided an in-depth understanding in UAVM of Ti6Al4V parts manufactured by SLM.
The Ti6Al4V parts produced by the existing selective laser melting (SLM) are mainly confronted with poor surface finish and inevitable interior defects, which substantially deteriorates the mechanical properties and performances of the parts. In this regard, ultrasonically-assisted machining (UAM) technique is commonly introduced to improve the machining quality due to its merits in increasing tool life and reducing cutting force. However, most of the previous studies focus on the performance of UAM with ultrasonic vibrations applied in the tangential and feed directions, whereas few of them on the impact of ultrasonic vibration along the vertical direction. In this study, the effects of feed rate on surface integrity in ultrasonically-assisted vertical milling (UAVM) of the Ti6Al4V alloy manufactured by SLM were systemically investigated compared with the conventional machining (CM) method. The results revealed that the milling forces in UAVM showed a lower amplitude than that in CM due to the intermittent cutting style. The surface roughness values of the parts produced by UAVM were generally greater than that by CM owing to the extra sinusoidal vibration textures induced by the milling cutter. Moreover, the extra vertical ultrasonic vibration in UAVM was beneficial to suppressing machining chatter. As feed rate increased, surface microhardness and thickness of the plastic deformation zone in CM raised due to more intensive plastic deformation, while these two material properties in UAVM were reduced owing to the mitigated impact effect by the high-frequency vibration of the milling cutter. Therefore, the improved surface microhardness and reduced thickness of the subsurface deformation layer in UAVM were ascribed to the vertical high-frequency impact of the milling cutter in UAVM. In general, the results of this study provided an in-depth understanding in UAVM of Ti6Al4V parts manufactured by SLM.
2021, 34: 82.
doi: 10.1186/s10033-021-00603-1
Abstract:
Gearbox condition monitoring (CM) plays a significant role in ensuring the operational reliability and efficiency of a wide range of critical industrial systems such as wind turbines and helicopters. Accurate and timely diagnosis of gear faults will improve the maintenance of gearboxes operating under sub-optimal conditions, avoid excessive energy consumption and prevent avoidable damages to systems. This study focuses on developing CM for a multi-stage helical gearbox using airborne sound. Based on signal phase alignments, Modulation Signal Bispectrum (MSB) analysis allows random noise and interrupting events in sound signals to be suppressed greatly and obtains nonlinear modulation features in association with gear dynamics. MSB coherence is evaluated for selecting the reliable bi-spectral peaks for indication of gear deterioration. A run-to-failure test of two industrial gearboxes was tested under various loading conditions. Two omnidirectional microphones were fixed near the gearboxes to sense acoustic information during operation. It has been shown that compared against vibration based CM, acoustics can perceive the responses of vibration in a larger areas and contains more comprehensive and stable information related to gear dynamics variation due to wear. Also, the MSB magnitude peaks at the first three harmonic components of gear mesh and rotation components are demonstrated to be sufficient in characterizing the gradual deterioration of gear transmission. Consequently, the combining of MSB peaks with baseline normalization yields more accurate monitoring trends and diagnostics, allowing the gradual deterioration process and gear wear location to be represented more consistently.
Gearbox condition monitoring (CM) plays a significant role in ensuring the operational reliability and efficiency of a wide range of critical industrial systems such as wind turbines and helicopters. Accurate and timely diagnosis of gear faults will improve the maintenance of gearboxes operating under sub-optimal conditions, avoid excessive energy consumption and prevent avoidable damages to systems. This study focuses on developing CM for a multi-stage helical gearbox using airborne sound. Based on signal phase alignments, Modulation Signal Bispectrum (MSB) analysis allows random noise and interrupting events in sound signals to be suppressed greatly and obtains nonlinear modulation features in association with gear dynamics. MSB coherence is evaluated for selecting the reliable bi-spectral peaks for indication of gear deterioration. A run-to-failure test of two industrial gearboxes was tested under various loading conditions. Two omnidirectional microphones were fixed near the gearboxes to sense acoustic information during operation. It has been shown that compared against vibration based CM, acoustics can perceive the responses of vibration in a larger areas and contains more comprehensive and stable information related to gear dynamics variation due to wear. Also, the MSB magnitude peaks at the first three harmonic components of gear mesh and rotation components are demonstrated to be sufficient in characterizing the gradual deterioration of gear transmission. Consequently, the combining of MSB peaks with baseline normalization yields more accurate monitoring trends and diagnostics, allowing the gradual deterioration process and gear wear location to be represented more consistently.
2021, 34: 5.
doi: 10.1186/s10033-020-00522-7
Abstract:
Large pressure equipment needs to be tested regularly to ensure safe operation; wall-climbing robots can carry the necessary tools to inspect spherical tanks, such as cameras and non-destructive testing equipment. However, a wall-climbing robot inside a spherical tank cannot be accurately positioned owing to the particularity of the spherical tank structure. This paper proposes a passive support and positioning mechanism fixed in a spherical tank to improve the adsorption capacity and positioning accuracy of the inspection robot. The main body of the mechanism was designed as a truss composed of carbon fiber telescopic rods and can work in spherical tanks with diameters of 4.6?15.7 m. The structural strength, stiffness, and stability of the mechanism are analyzed via force and deformation simulations. By constructing a mathematical model of the support and positioning mechanism, the influence of structural deformation on the supporting capacity is analyzed and calculated. The robot positioning method based on the support and positioning mechanism can effectively locate the robot inside a spherical tank. Experiments verified the support performance and robot positioning accuracy of the mechanism. This research proposes an auxiliary support and positioning mechanism for a detection robot inside a spherical tank, which can effectively improve the positioning accuracy of the robot and meet the robotic inspection requirements.
Large pressure equipment needs to be tested regularly to ensure safe operation; wall-climbing robots can carry the necessary tools to inspect spherical tanks, such as cameras and non-destructive testing equipment. However, a wall-climbing robot inside a spherical tank cannot be accurately positioned owing to the particularity of the spherical tank structure. This paper proposes a passive support and positioning mechanism fixed in a spherical tank to improve the adsorption capacity and positioning accuracy of the inspection robot. The main body of the mechanism was designed as a truss composed of carbon fiber telescopic rods and can work in spherical tanks with diameters of 4.6?15.7 m. The structural strength, stiffness, and stability of the mechanism are analyzed via force and deformation simulations. By constructing a mathematical model of the support and positioning mechanism, the influence of structural deformation on the supporting capacity is analyzed and calculated. The robot positioning method based on the support and positioning mechanism can effectively locate the robot inside a spherical tank. Experiments verified the support performance and robot positioning accuracy of the mechanism. This research proposes an auxiliary support and positioning mechanism for a detection robot inside a spherical tank, which can effectively improve the positioning accuracy of the robot and meet the robotic inspection requirements.
2021, 34: 16.
doi: 10.1186/s10033-021-00542-x
Abstract:
2021, 34: 20.
doi: 10.1186/s10033-020-00521-8
Abstract:
Isomorphism detection is fundamental to the synthesis and innovative design of kinematic chains (KCs). The detection can be performed accurately by using the similarity of KCs. However, there are very few works on isomorphism detection based on the properties of similar vertices. In this paper, an ameliorated multi-order adjacent vertex assignment sequence (AMAVS) method is proposed to seek out similar vertices and identify the isomorphism of the planar KCs. First, the specific definition of AMAVS is described. Through the calculation of the AMAVS, the adjacent vertex value sequence reflecting the uniqueness of the topology features is established. Based on the value sequence, all possible similar vertices, corresponding relations, and isomorphism discrimination can be realized. By checking the topological graph of KCs with a different number of links, the effectiveness and efficiency of the proposed method are verified. Finally, the method is employed to implement the similar vertices and isomorphism detection of all the 9-link 2-DOF(degree of freedom) planar KCs.
Isomorphism detection is fundamental to the synthesis and innovative design of kinematic chains (KCs). The detection can be performed accurately by using the similarity of KCs. However, there are very few works on isomorphism detection based on the properties of similar vertices. In this paper, an ameliorated multi-order adjacent vertex assignment sequence (AMAVS) method is proposed to seek out similar vertices and identify the isomorphism of the planar KCs. First, the specific definition of AMAVS is described. Through the calculation of the AMAVS, the adjacent vertex value sequence reflecting the uniqueness of the topology features is established. Based on the value sequence, all possible similar vertices, corresponding relations, and isomorphism discrimination can be realized. By checking the topological graph of KCs with a different number of links, the effectiveness and efficiency of the proposed method are verified. Finally, the method is employed to implement the similar vertices and isomorphism detection of all the 9-link 2-DOF(degree of freedom) planar KCs.
2021, 34: 22.
doi: 10.1186/s10033-021-00537-8
Abstract:
In this study, a humanoid prototype of 2-DOF (degrees of freedom) lower limb exoskeleton is introduced to evaluate the wearable comfortable effect between person and exoskeleton. To improve the detection accuracy of the human-robot interaction torque, a BPNN (backpropagation neural networks) is proposed to estimate this interaction force and to compensate for the measurement error of the 3D-force/torque sensor. Meanwhile, the backstepping controller is designed to realize the exoskeleton's passive position control, which means that the person passively adapts to the exoskeleton. On the other hand, a variable admittance controller is used to implement the exoskeleton's active follow-up control, which means that the person's motion is motivated by his/her intention and the exoskeleton control tries best to improve the human-robot wearable comfortable performance. To improve the wearable comfortable effect, serval regular gait tasks with different admittance parameters and step frequencies are statistically performed to obtain the optimal admittance control parameters. Finally, the BPNN compensation algorithm and two controllers are verified by the experimental exoskeleton prototype with human-robot cooperative motion.
In this study, a humanoid prototype of 2-DOF (degrees of freedom) lower limb exoskeleton is introduced to evaluate the wearable comfortable effect between person and exoskeleton. To improve the detection accuracy of the human-robot interaction torque, a BPNN (backpropagation neural networks) is proposed to estimate this interaction force and to compensate for the measurement error of the 3D-force/torque sensor. Meanwhile, the backstepping controller is designed to realize the exoskeleton's passive position control, which means that the person passively adapts to the exoskeleton. On the other hand, a variable admittance controller is used to implement the exoskeleton's active follow-up control, which means that the person's motion is motivated by his/her intention and the exoskeleton control tries best to improve the human-robot wearable comfortable performance. To improve the wearable comfortable effect, serval regular gait tasks with different admittance parameters and step frequencies are statistically performed to obtain the optimal admittance control parameters. Finally, the BPNN compensation algorithm and two controllers are verified by the experimental exoskeleton prototype with human-robot cooperative motion.
2021, 34: 23.
doi: 10.1186/s10033-021-00541-y
Abstract:
Nowadays, mild hypothermia is widely used in the fields of post-cardiac arrest resuscitation, stroke, cerebral hemorrhage, large-scale cerebral infarction, and craniocerebral injury. In this paper, a locally mixed sub-low temperature device is designed, and the cold and hot water mixing experiment is used to simulate the human blood transfer process. To set a foundation for the optimization of the heat transfer system, the static characteristics are analyzed by building the mathematic model and setting up the experimental station. In addition, the affection of several key structure parameters is researched. Through experimental and simulation studies, it can be concluded that, firstly, the mathematical model proved to be effective. Secondly, the results of simulation experiments show that 14.52 £C refrigeration can reduce the original temperature of 33.42 £C to 32.02 £C, and the temperature of refrigerated blood rises to 18.64 £C, and the average error is about 0.3 £C. Thirdly, as the thermal conductivity of the vascular sheath increases, the efficiency of the heat exchange system also increases significantly. Finally, as the input cold blood flow rate increases, the mass increases and the temperature of the mixed blood temperature decreases. It provides a research basis for subsequent research on local fixed-point sub-low temperature control technology.
Nowadays, mild hypothermia is widely used in the fields of post-cardiac arrest resuscitation, stroke, cerebral hemorrhage, large-scale cerebral infarction, and craniocerebral injury. In this paper, a locally mixed sub-low temperature device is designed, and the cold and hot water mixing experiment is used to simulate the human blood transfer process. To set a foundation for the optimization of the heat transfer system, the static characteristics are analyzed by building the mathematic model and setting up the experimental station. In addition, the affection of several key structure parameters is researched. Through experimental and simulation studies, it can be concluded that, firstly, the mathematical model proved to be effective. Secondly, the results of simulation experiments show that 14.52 £C refrigeration can reduce the original temperature of 33.42 £C to 32.02 £C, and the temperature of refrigerated blood rises to 18.64 £C, and the average error is about 0.3 £C. Thirdly, as the thermal conductivity of the vascular sheath increases, the efficiency of the heat exchange system also increases significantly. Finally, as the input cold blood flow rate increases, the mass increases and the temperature of the mixed blood temperature decreases. It provides a research basis for subsequent research on local fixed-point sub-low temperature control technology.
2021, 34: 24.
doi: 10.1186/s10033-021-00533-y
Abstract:
The problem of this paper is the high contact stress at the point of contact between the cam and the follower. A pear cam and roller follower mechanism were studied and analyzed for different position of the follower and different contact compression load. The objective of this paper is to study the effect of contact compression load on the contact stress distribution of the cam profile at the point of contact. Four different positions of the follower with the cam was considered (0£, 90£, 180£, and 270£). The theory of circular plate was applied to derive the analytic solution of the contact stress. The numerical simulation had been done using ANSYS Ver. 19.2 package to determine the contact stress, while SolidWorks software was used to investigate follower displacement, velocity, and acceleration. Four distinct values of the compression contact load, such as 3.121 N, 6.242 N, 9.364 N, and 12.485 N, were used in the numerical simulation. In the experiment setup, a photo-elastic technique was carried out in the field of polarized light to exhibit the stress distribution on the cam specimen. The annealed PSM-4 backalate material was used in the experiment setup. The experimental value of contact stress was checked and verified analytically and numerically at the point of contact. The innovation in this paper the use of spring-damper system which reduce the value of contact stress at the point of contact. The contact stress was maximum 2.136 MPa when the follower located at 270£ with the cam, while the contact stress was minimum 1.802 MPa when the follower located at 180£ at compression load 12.485 N.
The problem of this paper is the high contact stress at the point of contact between the cam and the follower. A pear cam and roller follower mechanism were studied and analyzed for different position of the follower and different contact compression load. The objective of this paper is to study the effect of contact compression load on the contact stress distribution of the cam profile at the point of contact. Four different positions of the follower with the cam was considered (0£, 90£, 180£, and 270£). The theory of circular plate was applied to derive the analytic solution of the contact stress. The numerical simulation had been done using ANSYS Ver. 19.2 package to determine the contact stress, while SolidWorks software was used to investigate follower displacement, velocity, and acceleration. Four distinct values of the compression contact load, such as 3.121 N, 6.242 N, 9.364 N, and 12.485 N, were used in the numerical simulation. In the experiment setup, a photo-elastic technique was carried out in the field of polarized light to exhibit the stress distribution on the cam specimen. The annealed PSM-4 backalate material was used in the experiment setup. The experimental value of contact stress was checked and verified analytically and numerically at the point of contact. The innovation in this paper the use of spring-damper system which reduce the value of contact stress at the point of contact. The contact stress was maximum 2.136 MPa when the follower located at 270£ with the cam, while the contact stress was minimum 1.802 MPa when the follower located at 180£ at compression load 12.485 N.
2021, 34: 25.
doi: 10.1186/s10033-021-00534-x
Abstract:
Prostatic hyperplasia and tumor are common diseases, and the minimally invasive surgery inserting the instruments through the urethra into the prostate is commonly conducted. Taking the robotic manipulator for such surgery into consideration, this paper analyses the workspace of the end effector, and proposes the distribution error of the fixed point and the tracking error of manipulator end effector on the cone bottom surface of the workspace as the basis for control implementation of the manipulator. The D-H coordinate system of the manipulator is established and the trajectory planning of the end effector in the Cartesian space is carried out. The digital model was established, and dynamics simulation was performed in Solidworks and Matlab/Simulink environment to guide the manipulator design. Trajectory mapping and synchronization control between virtual model and the actual manipulator are realized based on digital twin technique. The virtual manipulator can reflect the real-time state of the manipulator with data interaction by comparing the dynamics simulation results with the motor current values obtained by experiment. Experiment was carried out with PD feedback control and NewtonɃEuler dynamics based feedforward control to get the trajectory tracking characteristic of each motor, errors of the fixed point and tracking performance of the end effector of the manipulator. The results show that compared with PD feedback control, feed forward control implementation can achieve a reduction of 30.0% in the average error of the fixed point of the manipulator and a reduction of 33.3% in the maximum error.
Prostatic hyperplasia and tumor are common diseases, and the minimally invasive surgery inserting the instruments through the urethra into the prostate is commonly conducted. Taking the robotic manipulator for such surgery into consideration, this paper analyses the workspace of the end effector, and proposes the distribution error of the fixed point and the tracking error of manipulator end effector on the cone bottom surface of the workspace as the basis for control implementation of the manipulator. The D-H coordinate system of the manipulator is established and the trajectory planning of the end effector in the Cartesian space is carried out. The digital model was established, and dynamics simulation was performed in Solidworks and Matlab/Simulink environment to guide the manipulator design. Trajectory mapping and synchronization control between virtual model and the actual manipulator are realized based on digital twin technique. The virtual manipulator can reflect the real-time state of the manipulator with data interaction by comparing the dynamics simulation results with the motor current values obtained by experiment. Experiment was carried out with PD feedback control and NewtonɃEuler dynamics based feedforward control to get the trajectory tracking characteristic of each motor, errors of the fixed point and tracking performance of the end effector of the manipulator. The results show that compared with PD feedback control, feed forward control implementation can achieve a reduction of 30.0% in the average error of the fixed point of the manipulator and a reduction of 33.3% in the maximum error.
2021, 34: 28.
doi: 10.1186/s10033-021-00546-7
Abstract:
The lower-mobility parallel mechanism has been widely used in the engineering field due to its numerous excellent characteristics. However, little work has been devoted to the actuator selection and placement that best satisfy the system's functional requirements during concept design. In this study, a unified approach for synthesizing the actuation spaces of both rigid and flexure parallel mechanisms has been presented, and all possible combinations of inputs could be obtained, laying a theoretical foundation for the subsequent optimization of inputs. According to the linear independence of actuation space and constraint space of the lower-mobility parallel mechanism, a general expression of actuation spaces in the format of screw systems is deduced, a unified synthesis process for the lower-mobility parallel mechanism is derived, and the efficiency of the method is validated with two selective examples based on screw theory. This study presents a theoretical framework for the input selection problems of parallel mechanisms, aiming to help designers select and place actuators in a correct and even optimal way after the configuration design.
The lower-mobility parallel mechanism has been widely used in the engineering field due to its numerous excellent characteristics. However, little work has been devoted to the actuator selection and placement that best satisfy the system's functional requirements during concept design. In this study, a unified approach for synthesizing the actuation spaces of both rigid and flexure parallel mechanisms has been presented, and all possible combinations of inputs could be obtained, laying a theoretical foundation for the subsequent optimization of inputs. According to the linear independence of actuation space and constraint space of the lower-mobility parallel mechanism, a general expression of actuation spaces in the format of screw systems is deduced, a unified synthesis process for the lower-mobility parallel mechanism is derived, and the efficiency of the method is validated with two selective examples based on screw theory. This study presents a theoretical framework for the input selection problems of parallel mechanisms, aiming to help designers select and place actuators in a correct and even optimal way after the configuration design.
2021, 34: 31.
doi: 10.1186/s10033-021-00535-w
Abstract:
The hydraulic exoskeleton is one research hotspot in the field of robotics, which can take heavy load due to the high power density of the hydraulic system. However, the traditional hydraulic system is normally centralized, inefficient, and bulky during application, which limits its development in the exoskeleton. For improving the robotos performance, its hydraulic actuating system should be optimized further. In this paper a novel hydraulic actuating system (HAS) based on electric-hydrostatic actuator is proposed, which is applied to hip and knee joints. Each HAS integrates an electric servo motor, a high-speed micro pump, a specific tank, and other components into a module. The specific parameters are obtained through relevant simulation according to human motion data and load requirements. The dynamic models of the HAS are built, and validated by the system identification. Experiments of trajectory tracking and human-exoskeleton interaction are carried out, which demonstrate the proposed HAS has the ability to be applied to the exoskeleton. Compared with the previous prototype, the total weight of the HAS in the robot is reduced by about 40%, and the power density is increased by almost 1.6 times.
The hydraulic exoskeleton is one research hotspot in the field of robotics, which can take heavy load due to the high power density of the hydraulic system. However, the traditional hydraulic system is normally centralized, inefficient, and bulky during application, which limits its development in the exoskeleton. For improving the robotos performance, its hydraulic actuating system should be optimized further. In this paper a novel hydraulic actuating system (HAS) based on electric-hydrostatic actuator is proposed, which is applied to hip and knee joints. Each HAS integrates an electric servo motor, a high-speed micro pump, a specific tank, and other components into a module. The specific parameters are obtained through relevant simulation according to human motion data and load requirements. The dynamic models of the HAS are built, and validated by the system identification. Experiments of trajectory tracking and human-exoskeleton interaction are carried out, which demonstrate the proposed HAS has the ability to be applied to the exoskeleton. Compared with the previous prototype, the total weight of the HAS in the robot is reduced by about 40%, and the power density is increased by almost 1.6 times.
2021, 34: 8.
doi: 10.1186/s10033-020-00495-7
Abstract:
Interfacial structure greatly affects the mechanical properties of laminated plates. However, the critical material properties that impact the interfacial morphology, appearance, and associated bonding mechanism of explosive welded plates are still unknown. In this paper, the same base plate (AZ31B alloy) and different flyer metals (aluminum alloy, copper, and stainless steel) were used to investigate interfacial morphology and structure. SEM and TEM results showed that typical sine wave, wave-like, and half-wave-like interfaces were found at the bonding interfaces of Al/Mg, Cu/Mg and SS/Mg clad plates, respectively. The different interfacial morphologies were mainly due to the differences in hardness and yield strength between the flyer and base metals. The results of the microstructural distribution at the bonding interface indicated metallurgical bonding, instead of the commonly believed solid-state bonding, in the explosive welded clad plate. In addition, the shear strength of the bonding interface of the explosive welded Al/Mg, Cu/Mg and SS/Mg clad plates can reach up to 201.2 MPa, 147.8 MPa, and 128.4 MPa, respectively. The proposed research provides the design basis for laminated composite metal plates fabrication by explosive welding technology.
Interfacial structure greatly affects the mechanical properties of laminated plates. However, the critical material properties that impact the interfacial morphology, appearance, and associated bonding mechanism of explosive welded plates are still unknown. In this paper, the same base plate (AZ31B alloy) and different flyer metals (aluminum alloy, copper, and stainless steel) were used to investigate interfacial morphology and structure. SEM and TEM results showed that typical sine wave, wave-like, and half-wave-like interfaces were found at the bonding interfaces of Al/Mg, Cu/Mg and SS/Mg clad plates, respectively. The different interfacial morphologies were mainly due to the differences in hardness and yield strength between the flyer and base metals. The results of the microstructural distribution at the bonding interface indicated metallurgical bonding, instead of the commonly believed solid-state bonding, in the explosive welded clad plate. In addition, the shear strength of the bonding interface of the explosive welded Al/Mg, Cu/Mg and SS/Mg clad plates can reach up to 201.2 MPa, 147.8 MPa, and 128.4 MPa, respectively. The proposed research provides the design basis for laminated composite metal plates fabrication by explosive welding technology.
2021, 34: 15.
doi: 10.1186/s10033-021-00531-0
Abstract:
With the popularization of friction stir welding (FSW), 5083-H321 and 6061-T6 aluminum alloy materials are widely used during the FSW process. In this study, the fatigue life of friction stir welding with two materials, i.e., 5083-H321 and 6061-T6 aluminum alloy, are studied. Fatigue tests were carried out on the base metal of these two materials as well as on the butt joints and overlapping FSW samples. The principle of the equivalent structural stress method is used to analyze the FSW test data of these two materials. The fatigue resistances of these two materials were compared and a unified principal S–N curve equation was fitted. Two key parameters of the unified principal S–N curve obtained by fitting, Cd is 4222.5, and h is 0.2693. A new method for an FSW fatigue life assessment was developed in this study and can be used to calculate the fatigue life of different welding forms with a single S–N curve. Two main fatigue tests of bending and tension were used to verify the unified principal S–N curve equation. The results show that the fatigue life calculated by the unified mean 50% master S–N curve parameters are the closest to the fatigue test results. The reliability, practicability, and generality of the master S–N curve fitting parameters were verified using the test data. The unified principal S–N curve acquired in this study can not only be used in aluminum alloy materials but can also be applied to other materials.
With the popularization of friction stir welding (FSW), 5083-H321 and 6061-T6 aluminum alloy materials are widely used during the FSW process. In this study, the fatigue life of friction stir welding with two materials, i.e., 5083-H321 and 6061-T6 aluminum alloy, are studied. Fatigue tests were carried out on the base metal of these two materials as well as on the butt joints and overlapping FSW samples. The principle of the equivalent structural stress method is used to analyze the FSW test data of these two materials. The fatigue resistances of these two materials were compared and a unified principal S–N curve equation was fitted. Two key parameters of the unified principal S–N curve obtained by fitting, Cd is 4222.5, and h is 0.2693. A new method for an FSW fatigue life assessment was developed in this study and can be used to calculate the fatigue life of different welding forms with a single S–N curve. Two main fatigue tests of bending and tension were used to verify the unified principal S–N curve equation. The results show that the fatigue life calculated by the unified mean 50% master S–N curve parameters are the closest to the fatigue test results. The reliability, practicability, and generality of the master S–N curve fitting parameters were verified using the test data. The unified principal S–N curve acquired in this study can not only be used in aluminum alloy materials but can also be applied to other materials.
2021, 34: 26.
doi: 10.1186/s10033-021-00545-8
Abstract:
It can be known from a large number of research results that improving the dispersibility of CNTs can effectively optimize the mechanical properties of the corresponding metal matrix composites. However, the crucial issue of increasing the bonding of CNTs and the matrix is still unsolved. In this paper, a novel method was developed to increase interfacial bonding strength by coating titanium oxide (TiO2) on the surface of CNTs. The rare earth Pr and TiO2@CNTs-reinforced AZ91matrix composites were successfully fabricated by powder metallurgy. Hot press sintering and hot extrusion of the milled powder was performed. After hot extrusion, the influence of TiO2@CNTs on the microstructure and mechanical properties of the composites were investigated. The results showed that the coating process can improve the distribution of CNTs in Mg alloy. The CNTs refined the grains of the matrix, and the CNTs were presented throughout the extrusion direction. When the TiO2@CNTs content was 1.0 wt.%, the yield strength (YS), ultimate tensile strength (UTS), and elongation of the alloy attained maximum values. The values were improved by 23.5%, 82.1%, and 40.0%, respectively, when compared with the AZ91 alloy. Good interfacial bonding was achieved, which resulted in an effective tensile loading transfer at the interface. CNTs carried the tensile stress and were observed on the tensile fracture.
It can be known from a large number of research results that improving the dispersibility of CNTs can effectively optimize the mechanical properties of the corresponding metal matrix composites. However, the crucial issue of increasing the bonding of CNTs and the matrix is still unsolved. In this paper, a novel method was developed to increase interfacial bonding strength by coating titanium oxide (TiO2) on the surface of CNTs. The rare earth Pr and TiO2@CNTs-reinforced AZ91matrix composites were successfully fabricated by powder metallurgy. Hot press sintering and hot extrusion of the milled powder was performed. After hot extrusion, the influence of TiO2@CNTs on the microstructure and mechanical properties of the composites were investigated. The results showed that the coating process can improve the distribution of CNTs in Mg alloy. The CNTs refined the grains of the matrix, and the CNTs were presented throughout the extrusion direction. When the TiO2@CNTs content was 1.0 wt.%, the yield strength (YS), ultimate tensile strength (UTS), and elongation of the alloy attained maximum values. The values were improved by 23.5%, 82.1%, and 40.0%, respectively, when compared with the AZ91 alloy. Good interfacial bonding was achieved, which resulted in an effective tensile loading transfer at the interface. CNTs carried the tensile stress and were observed on the tensile fracture.
2021, 34: 35.
doi: 10.1186/s10033-021-00549-4
Abstract:
Ductile fracture of metal often occurs in the plastic forming process of parts. The establishment of ductile fracture criterion can effectively guide the selection of process parameters and avoid ductile fracture of parts during machining. The 3D ductile fracture envelope of AA6063-T6 was developed to predict and prevent its fracture. Smooth round bar tension tests were performed to characterize the flow stress, and a series of experiments were conducted to characterize the ductile fracture firstly, such as notched round bar tension tests, compression tests and torsion tests. These tests cover a wide range of stress triaxiality (ST) and Lode parameter (LP) to calibrate the ductile fracture criterion. Plasticity modeling was performed, and the predicted results were compared with corresponding experimental data to verify the plasticity model after these experiments. Then the relationship between ductile fracture strain and ST with LP was constructed using the modified Mohr–Coulomb (MMC) model and Bai-Wierzbicki (BW) model to develop the 3D ductile fracture envelope. Finally, two ductile damage models were proposed based on the 3D fracture envelope of AA6063. Through the comparison of the two models, it was found that BW model had better fitting effect, and the sum of squares of residual error of BW model was 0.9901. The two models had relatively large errors in predicting the fracture strain of SRB tensile test and torsion test, but both of the predicting error of both two models were within the acceptable range of 15%. In the process of finite element simulation, the evolution process of ductile fracture can be well simulated by the two models. However, BW model can predict the location of fracture more accurately than MMC model.
Ductile fracture of metal often occurs in the plastic forming process of parts. The establishment of ductile fracture criterion can effectively guide the selection of process parameters and avoid ductile fracture of parts during machining. The 3D ductile fracture envelope of AA6063-T6 was developed to predict and prevent its fracture. Smooth round bar tension tests were performed to characterize the flow stress, and a series of experiments were conducted to characterize the ductile fracture firstly, such as notched round bar tension tests, compression tests and torsion tests. These tests cover a wide range of stress triaxiality (ST) and Lode parameter (LP) to calibrate the ductile fracture criterion. Plasticity modeling was performed, and the predicted results were compared with corresponding experimental data to verify the plasticity model after these experiments. Then the relationship between ductile fracture strain and ST with LP was constructed using the modified Mohr–Coulomb (MMC) model and Bai-Wierzbicki (BW) model to develop the 3D ductile fracture envelope. Finally, two ductile damage models were proposed based on the 3D fracture envelope of AA6063. Through the comparison of the two models, it was found that BW model had better fitting effect, and the sum of squares of residual error of BW model was 0.9901. The two models had relatively large errors in predicting the fracture strain of SRB tensile test and torsion test, but both of the predicting error of both two models were within the acceptable range of 15%. In the process of finite element simulation, the evolution process of ductile fracture can be well simulated by the two models. However, BW model can predict the location of fracture more accurately than MMC model.
2021, 34: 36.
doi: 10.1186/s10033-021-00551-w
Abstract:
Self-piercing riveting (SPR) has been widely used in automobile industry, and the strength prediction of SPR joints always attracts the attention of researchers. In this work, a prediction method of the cross-tension strength of SPR joints was proposed on the basis of finite element (FE) simulation and extreme gradient boosting decision tree (XGBoost) algorithm. An FE model of SPR process was established to simulate the plastic deformations of rivet and substrate materials and verified in terms of cross-sectional dimensions of SPR joints. The residual mechanical field from SPR process simulation was imported into a 2D FE model for the cross-tension testing simulation of SPR joints, and cross-tension strengths from FE simulation show a good consistence with the experiment result. Based on the verified FE model, the mechanical properties and thickness of substrate materials were varied and then used for FE simulation to obtain cross-tension strengths of a number of SPR joints, which were used to train the regression model based on the XGBoost algorithm in order to achieve prediction for cross-tension strength of SPR joints. Results show that the cross-tension strengths of SPR steel/aluminum joints could be successfully predicted by the XGBoost regression model with a respective error less than 7.6% compared to experimental values.
Self-piercing riveting (SPR) has been widely used in automobile industry, and the strength prediction of SPR joints always attracts the attention of researchers. In this work, a prediction method of the cross-tension strength of SPR joints was proposed on the basis of finite element (FE) simulation and extreme gradient boosting decision tree (XGBoost) algorithm. An FE model of SPR process was established to simulate the plastic deformations of rivet and substrate materials and verified in terms of cross-sectional dimensions of SPR joints. The residual mechanical field from SPR process simulation was imported into a 2D FE model for the cross-tension testing simulation of SPR joints, and cross-tension strengths from FE simulation show a good consistence with the experiment result. Based on the verified FE model, the mechanical properties and thickness of substrate materials were varied and then used for FE simulation to obtain cross-tension strengths of a number of SPR joints, which were used to train the regression model based on the XGBoost algorithm in order to achieve prediction for cross-tension strength of SPR joints. Results show that the cross-tension strengths of SPR steel/aluminum joints could be successfully predicted by the XGBoost regression model with a respective error less than 7.6% compared to experimental values.
2021, 34: 40.
doi: 10.1186/s10033-021-00556-5
Abstract:
In the present work, austenitic stainless steel (ASS) 304 foils with a thickness of 50 µm were first annealed at temperatures ranging from 700 to 1100 ℃ for 1 h to obtain different microstructural characteristics. Then the effects of microstructural characteristics on the formability of ASS 304 foils and the quality of drawn cups using micro deep drawing (MDD) were studied, and the mechanism involved was discussed. The results show that the as-received ASS 304 foil has a poor formability and cannot be used to form a cup using MDD. Serious wrinkling problem occurs on the drawn cup, and the height profile distribution on the mouth and the symmetry of the drawn cup is quite non-uniform when the annealing temperature is 700 ℃. At annealing temperatures of 900 and 950 ℃, the drawn cups are both characterized with very few wrinkles, and the distribution of height profile, symmetry and mouth thickness are uniform on the mouths of the drawn cups. The wrinkling becomes increasingly significant with a further increase of annealing temperature from 950 to 1100 ℃. The optimal annealing temperatures obtained in this study are 900 and 950 ℃ for reducing the generation of wrinkling, and therefore improving the quality of drawn cups. With non-optimized microstructure, the distribution of the compressive stress in the circumferential direction of the drawn foils becomes inhomogeneous, which is thought to be the cause of the occurrence of localized deformation till wrinkling during MDD.
In the present work, austenitic stainless steel (ASS) 304 foils with a thickness of 50 µm were first annealed at temperatures ranging from 700 to 1100 ℃ for 1 h to obtain different microstructural characteristics. Then the effects of microstructural characteristics on the formability of ASS 304 foils and the quality of drawn cups using micro deep drawing (MDD) were studied, and the mechanism involved was discussed. The results show that the as-received ASS 304 foil has a poor formability and cannot be used to form a cup using MDD. Serious wrinkling problem occurs on the drawn cup, and the height profile distribution on the mouth and the symmetry of the drawn cup is quite non-uniform when the annealing temperature is 700 ℃. At annealing temperatures of 900 and 950 ℃, the drawn cups are both characterized with very few wrinkles, and the distribution of height profile, symmetry and mouth thickness are uniform on the mouths of the drawn cups. The wrinkling becomes increasingly significant with a further increase of annealing temperature from 950 to 1100 ℃. The optimal annealing temperatures obtained in this study are 900 and 950 ℃ for reducing the generation of wrinkling, and therefore improving the quality of drawn cups. With non-optimized microstructure, the distribution of the compressive stress in the circumferential direction of the drawn foils becomes inhomogeneous, which is thought to be the cause of the occurrence of localized deformation till wrinkling during MDD.
2021, 34: 51.
doi: 10.1186/s10033-021-00574-3
Abstract:
Irregular honeycomb structures occur abundantly in nature and in man-made products, and are an active area of research. In this paper, according to the optimization of regular honeycomb structures, two types of irregular honeycomb structures with both positive and negative Poisson's ratios are presented. The elastic properties of irregular honeycombs with varying structure angles were investigated through a combination of material mechanics and structural mechanics methods, in which the axial deformation of the rods was considered. The numerical results show that axial deformation has a significant influence on the elastic properties of irregular honeycomb structures. The elastic properties of the structure can be considered by the enclosed area of the unit structure, the shape of the unit structure, and the elastic properties of the original materials. The elastic properties considering the axial deformation of rods studied in this study can provide a reference for other scholars.
Irregular honeycomb structures occur abundantly in nature and in man-made products, and are an active area of research. In this paper, according to the optimization of regular honeycomb structures, two types of irregular honeycomb structures with both positive and negative Poisson's ratios are presented. The elastic properties of irregular honeycombs with varying structure angles were investigated through a combination of material mechanics and structural mechanics methods, in which the axial deformation of the rods was considered. The numerical results show that axial deformation has a significant influence on the elastic properties of irregular honeycomb structures. The elastic properties of the structure can be considered by the enclosed area of the unit structure, the shape of the unit structure, and the elastic properties of the original materials. The elastic properties considering the axial deformation of rods studied in this study can provide a reference for other scholars.
2021, 34: 66.
doi: 10.1186/s10033-021-00583-2
Abstract:
The current research of narrow-gap gas metal arc welding (NG-GMAW) primarily focuses on improving the sidewall fusion and avoiding the lack-of-fusion defect. However, the high cost and operation difficulty of the methods limit the industrial application. In this study, small amount of active gases CO2 and O2 were added into pure argon inert shielding gas to improve the weld formation of pulsed-current narrow-gap gas metal arc welding (NG-GMAW) of mild steel. Their effects on droplet transfer and arc behavior were investigated. A high-speed visual sensing system was utilized to observe the metal transfer process and arc morphology. When the proportion of CO2, being added into the pure argon shielding gas, changes from 5% to 25%, the metal transfer mode changes from pulsed spray streaming transfer to pulsed projected spray transfer, while it remains the pulsed spray streaming transfer when 2% to 10% O2 is added. Both CO2 and O2 are favorable to stabilizing arc and welding process. O2 is even more effective than CO2. However, O2 is more likely to cause slags on the weld surface, while CO2 can improve the weld appearance in some sense. The weld surface concavity in NG-GMAW is greatly influenced by the addition of active gas, but the weld width and weld penetration almost keep constant. This study proposes a new method which is beneficial to improving the weld bead formation and welding process stability.
The current research of narrow-gap gas metal arc welding (NG-GMAW) primarily focuses on improving the sidewall fusion and avoiding the lack-of-fusion defect. However, the high cost and operation difficulty of the methods limit the industrial application. In this study, small amount of active gases CO2 and O2 were added into pure argon inert shielding gas to improve the weld formation of pulsed-current narrow-gap gas metal arc welding (NG-GMAW) of mild steel. Their effects on droplet transfer and arc behavior were investigated. A high-speed visual sensing system was utilized to observe the metal transfer process and arc morphology. When the proportion of CO2, being added into the pure argon shielding gas, changes from 5% to 25%, the metal transfer mode changes from pulsed spray streaming transfer to pulsed projected spray transfer, while it remains the pulsed spray streaming transfer when 2% to 10% O2 is added. Both CO2 and O2 are favorable to stabilizing arc and welding process. O2 is even more effective than CO2. However, O2 is more likely to cause slags on the weld surface, while CO2 can improve the weld appearance in some sense. The weld surface concavity in NG-GMAW is greatly influenced by the addition of active gas, but the weld width and weld penetration almost keep constant. This study proposes a new method which is beneficial to improving the weld bead formation and welding process stability.
2021, 34: 80.
doi: 10.1186/s10033-021-00596-x
Abstract:
The QP980-DP980 dissimilar steel joints were fabricated by fiber laser welding. The weld zone (WZ) was fully martensitic structure, and heat-affected zone (HAZ) contained newly-formed martensite and partially tempered martensite (TM) in both steels. The super-critical HAZ of the QP980 side had higher microhardness (~549.5 Hv) than that of the WZ due to the finer martensite. A softened zone was present in HAZ of QP980 and DP980, the dropped microhardness of softened zone of the QP980 and DP980 was Δ 21.8 Hv and Δ 40.9 Hv, respectively. Dislocation walls and slip bands were likely formed at the grain boundaries with the increase of strain, leading to the formation of low angle grain boundaries (LAGBs). Dislocation accumulation more easily occurred in the LAGBs than that of the HAGBs, which led to significant dislocation interaction and formation of cracks. The electron back-scattered diffraction (EBSD) results showed the fraction of LAGBs in sub-critical HAZ of DP980 side was the highest under different deformation conditions during tensile testing, resulting in the failure of joints located at the sub-critical HAZ of DP980 side. The QP980-DP980 dissimilar steel joints presented higher elongation (~11.21%) and ultimate tensile strength (~1011.53 MPa) than that of DP980-DP980 similar steel joints, because during the tensile process of the QP980-DP980 dissimilar steel joint (~8.2% and 991.38 MPa), the strain concentration firstly occurred on the excellent QP980 BM. Moreover, Erichsen cupping tests showed that the dissimilar welded joints had the lowest Erichsen value (~5.92 mm) and the peak punch force (~28.4 kN) due to the presence of large amount of brittle martensite in WZ and inhomogeneous deformation.
The QP980-DP980 dissimilar steel joints were fabricated by fiber laser welding. The weld zone (WZ) was fully martensitic structure, and heat-affected zone (HAZ) contained newly-formed martensite and partially tempered martensite (TM) in both steels. The super-critical HAZ of the QP980 side had higher microhardness (~549.5 Hv) than that of the WZ due to the finer martensite. A softened zone was present in HAZ of QP980 and DP980, the dropped microhardness of softened zone of the QP980 and DP980 was Δ 21.8 Hv and Δ 40.9 Hv, respectively. Dislocation walls and slip bands were likely formed at the grain boundaries with the increase of strain, leading to the formation of low angle grain boundaries (LAGBs). Dislocation accumulation more easily occurred in the LAGBs than that of the HAGBs, which led to significant dislocation interaction and formation of cracks. The electron back-scattered diffraction (EBSD) results showed the fraction of LAGBs in sub-critical HAZ of DP980 side was the highest under different deformation conditions during tensile testing, resulting in the failure of joints located at the sub-critical HAZ of DP980 side. The QP980-DP980 dissimilar steel joints presented higher elongation (~11.21%) and ultimate tensile strength (~1011.53 MPa) than that of DP980-DP980 similar steel joints, because during the tensile process of the QP980-DP980 dissimilar steel joint (~8.2% and 991.38 MPa), the strain concentration firstly occurred on the excellent QP980 BM. Moreover, Erichsen cupping tests showed that the dissimilar welded joints had the lowest Erichsen value (~5.92 mm) and the peak punch force (~28.4 kN) due to the presence of large amount of brittle martensite in WZ and inhomogeneous deformation.
2021, 34: 9.
doi: 10.1186/s10033-020-00529-0
Abstract:
Imbalance vibration is a typical failure mode of rotational machines and has significant negative effects on the efficiency, accuracy, and service life of equipment. To automatically reduce the imbalance vibration during the operational process, different types of active balancing actuators have been designed and widely applied in actual production. However, the existing electromagnetic-ring active balancing actuator is designed based on an axial excitation structure which can cause structural instability and has low electromagnetic driving efficiency. In this paper, a novel radial excitation structure and the working principle of an electromagnetic-ring active balancing actuator with a combined driving strategy are presented in detail. Then, based on a finite element model, the performance parameters of the actuator are analyzed, and reasonable design parameters are obtained. Self-locking torque measurements and comparative static and dynamic experiments are performed to validate the self-locking torque and driving efficiency of the actuator. The results indicate that this novel active balancing actuator has sufficient self-locking torque, achieves normal step rotation at 2000 r/min, and reduces the driving voltage by 12.5%. The proposed novel balancing actuator using radial excitation and a combination of permanent magnets and soft-iron blocks has improved electromagnetic efficiency and a more stable and compact structure.
Imbalance vibration is a typical failure mode of rotational machines and has significant negative effects on the efficiency, accuracy, and service life of equipment. To automatically reduce the imbalance vibration during the operational process, different types of active balancing actuators have been designed and widely applied in actual production. However, the existing electromagnetic-ring active balancing actuator is designed based on an axial excitation structure which can cause structural instability and has low electromagnetic driving efficiency. In this paper, a novel radial excitation structure and the working principle of an electromagnetic-ring active balancing actuator with a combined driving strategy are presented in detail. Then, based on a finite element model, the performance parameters of the actuator are analyzed, and reasonable design parameters are obtained. Self-locking torque measurements and comparative static and dynamic experiments are performed to validate the self-locking torque and driving efficiency of the actuator. The results indicate that this novel active balancing actuator has sufficient self-locking torque, achieves normal step rotation at 2000 r/min, and reduces the driving voltage by 12.5%. The proposed novel balancing actuator using radial excitation and a combination of permanent magnets and soft-iron blocks has improved electromagnetic efficiency and a more stable and compact structure.
2021, 34: 13.
doi: 10.1186/s10033-020-00520-9
Abstract:
Gear fault diagnosis technologies have received rapid development and been effectively implemented in many engineering applications. However, the various working conditions would degrade the diagnostic performance and make gear fault diagnosis (GFD) more and more challenging. In this paper, a novel model parameter transfer (NMPT) is proposed to boost the performance of GFD under varying working conditions. Based on the previous transfer strategy that controls empirical risk of source domain, this method further integrates the superiorities of multi-task learning with the idea of transfer learning (TL) to acquire transferable knowledge by minimizing the discrepancies of separating hyperplanes between one specific working condition (target domain) and another (source domain), and then transferring both commonality and specialty parameters over tasks to make use of source domain samples to assist target GFD task when sufficient labeled samples from target domain are unavailable. For NMPT implementation, insufficient target domain features and abundant source domain features with supervised information are fed into NMPT model to train a robust classifier for target GFD task. Related experiments prove that NMPT is expected to be a valuable technology to boost practical GFD performance under various working conditions. The proposed methods provides a transfer learning-based framework to handle the problem of insufficient training samples in target task caused by variable operation conditions.
Gear fault diagnosis technologies have received rapid development and been effectively implemented in many engineering applications. However, the various working conditions would degrade the diagnostic performance and make gear fault diagnosis (GFD) more and more challenging. In this paper, a novel model parameter transfer (NMPT) is proposed to boost the performance of GFD under varying working conditions. Based on the previous transfer strategy that controls empirical risk of source domain, this method further integrates the superiorities of multi-task learning with the idea of transfer learning (TL) to acquire transferable knowledge by minimizing the discrepancies of separating hyperplanes between one specific working condition (target domain) and another (source domain), and then transferring both commonality and specialty parameters over tasks to make use of source domain samples to assist target GFD task when sufficient labeled samples from target domain are unavailable. For NMPT implementation, insufficient target domain features and abundant source domain features with supervised information are fed into NMPT model to train a robust classifier for target GFD task. Related experiments prove that NMPT is expected to be a valuable technology to boost practical GFD performance under various working conditions. The proposed methods provides a transfer learning-based framework to handle the problem of insufficient training samples in target task caused by variable operation conditions.
2021, 34: 17.
doi: 10.1186/s10033-021-00539-6
Abstract:
Heavy-duty machine tools are composed of many subsystems with different functions, and their reliability is governed by the reliabilities of these subsystems. It is important to rank the weaknesses of subsystems and identify the weakest subsystem to optimize products and improve their reliabilities. However, traditional ranking methods based on failure mode effect and critical analysis (FMECA) does not consider the complex maintenance of products. Herein, a weakness ranking method for the subsystems of heavy-duty machine tools is proposed based on generalized FMECA information. In this method, eight reliability indexes, including maintainability and maintenance cost, are considered in the generalized FMECA information. Subsequently, the cognition best worst method is used to calculate the weight of each screened index, and the weaknesses of the subsystems are ranked using a technique for order preference by similarity to an ideal solution. Finally, based on the failure data collected from certain domestic heavy-duty horizontal lathes, the weakness ranking result of the subsystems is obtained to verify the effectiveness of the proposed method. An improved weakness ranking method that can comprehensively analyze and identify weak subsystems is proposed herein for designing and improving the reliability of complex electromechanical products.
Heavy-duty machine tools are composed of many subsystems with different functions, and their reliability is governed by the reliabilities of these subsystems. It is important to rank the weaknesses of subsystems and identify the weakest subsystem to optimize products and improve their reliabilities. However, traditional ranking methods based on failure mode effect and critical analysis (FMECA) does not consider the complex maintenance of products. Herein, a weakness ranking method for the subsystems of heavy-duty machine tools is proposed based on generalized FMECA information. In this method, eight reliability indexes, including maintainability and maintenance cost, are considered in the generalized FMECA information. Subsequently, the cognition best worst method is used to calculate the weight of each screened index, and the weaknesses of the subsystems are ranked using a technique for order preference by similarity to an ideal solution. Finally, based on the failure data collected from certain domestic heavy-duty horizontal lathes, the weakness ranking result of the subsystems is obtained to verify the effectiveness of the proposed method. An improved weakness ranking method that can comprehensively analyze and identify weak subsystems is proposed herein for designing and improving the reliability of complex electromechanical products.
2021, 34: 21.
doi: 10.1186/s10033-021-00538-7
Abstract:
The additive manufacturing of continuous fiber composites has the advantage of a high-precision and efficient forming process, which can realize the lightweight and integrated manufacturing of complex structures. However, many void defects exist between layers in the printing process of additive manufacturing; consequently, the bonding performance between layers is poor. The bonding neck is considered a key parameter for representing the quality of interfacial bonding. In this study, the formation mechanism of the bonding neck was comprehensively analyzed. First, the influence of the nozzle and basement temperatures on the printing performance and bonding neck size was measured. Second, CT scanning was used to realize the quantitative characterization of bonding neck parameters, and the reason behind the deviation of actual measurements from theoretical calculations was analyzed. When the nozzle temperature increased from 180 to 220 ℃, CT measurement showed that the bonding neck diameter increased from 0.29 to 0.34 mm, and the cross-sectional porosity reduced from 5.48% to 3.22%. Finally, the fracture mechanism was studied, and the influence of the interfacial bonding quality on the destruction process of the materials was determined. In conclusion, this study can assist in optimizing the process parameters, which improves the precision of the printing parts and performance between the layers.
The additive manufacturing of continuous fiber composites has the advantage of a high-precision and efficient forming process, which can realize the lightweight and integrated manufacturing of complex structures. However, many void defects exist between layers in the printing process of additive manufacturing; consequently, the bonding performance between layers is poor. The bonding neck is considered a key parameter for representing the quality of interfacial bonding. In this study, the formation mechanism of the bonding neck was comprehensively analyzed. First, the influence of the nozzle and basement temperatures on the printing performance and bonding neck size was measured. Second, CT scanning was used to realize the quantitative characterization of bonding neck parameters, and the reason behind the deviation of actual measurements from theoretical calculations was analyzed. When the nozzle temperature increased from 180 to 220 ℃, CT measurement showed that the bonding neck diameter increased from 0.29 to 0.34 mm, and the cross-sectional porosity reduced from 5.48% to 3.22%. Finally, the fracture mechanism was studied, and the influence of the interfacial bonding quality on the destruction process of the materials was determined. In conclusion, this study can assist in optimizing the process parameters, which improves the precision of the printing parts and performance between the layers.
2021, 34: 44.
doi: 10.1186/s10033-021-00564-5
Abstract:
Deep learning algorithms based on neural networks make remarkable achievements in machine fault diagnosis, while the noise mixed in measured signals harms the prediction accuracy of networks. Existing denoising methods in neural networks, such as using complex network architectures and introducing sparse techniques, always suffer from the difficulty of estimating hyperparameters and the lack of physical interpretability. To address this issue, this paper proposes a novel interpretable denoising layer based on reproducing kernel Hilbert space (RKHS) as the first layer for standard neural networks, with the aim to combine the advantages of both traditional signal processing technology with physical interpretation and network modeling strategy with parameter adaption. By investigating the influencing mechanism of parameters on the regularization procedure in RKHS, the key parameter that dynamically controls the signal smoothness with low computational cost is selected as the only trainable parameter of the proposed layer. Besides, the forward and backward propagation algorithms of the designed layer are formulated to ensure that the selected parameter can be automatically updated together with other parameters in the neural network. Moreover, exponential and piecewise functions are introduced in the weight updating process to keep the trainable weight within a reasonable range and avoid the ill-conditioned problem. Experiment studies verify the effectiveness and compatibility of the proposed layer design method in intelligent fault diagnosis of machinery in noisy environments.
Deep learning algorithms based on neural networks make remarkable achievements in machine fault diagnosis, while the noise mixed in measured signals harms the prediction accuracy of networks. Existing denoising methods in neural networks, such as using complex network architectures and introducing sparse techniques, always suffer from the difficulty of estimating hyperparameters and the lack of physical interpretability. To address this issue, this paper proposes a novel interpretable denoising layer based on reproducing kernel Hilbert space (RKHS) as the first layer for standard neural networks, with the aim to combine the advantages of both traditional signal processing technology with physical interpretation and network modeling strategy with parameter adaption. By investigating the influencing mechanism of parameters on the regularization procedure in RKHS, the key parameter that dynamically controls the signal smoothness with low computational cost is selected as the only trainable parameter of the proposed layer. Besides, the forward and backward propagation algorithms of the designed layer are formulated to ensure that the selected parameter can be automatically updated together with other parameters in the neural network. Moreover, exponential and piecewise functions are introduced in the weight updating process to keep the trainable weight within a reasonable range and avoid the ill-conditioned problem. Experiment studies verify the effectiveness and compatibility of the proposed layer design method in intelligent fault diagnosis of machinery in noisy environments.
2021, 34: 53.
doi: 10.1186/s10033-021-00565-4
Abstract:
As an integrated application of modern information technologies and artificial intelligence, Prognostic and Health Management (PHM) is important for machine health monitoring. Prediction of tool wear is one of the symbolic applications of PHM technology in modern manufacturing systems and industry. In this paper, a multi-scale Convolutional Gated Recurrent Unit network (MCGRU) is proposed to address raw sensory data for tool wear prediction. At the bottom of MCGRU, six parallel and independent branches with different kernel sizes are designed to form a multi-scale convolutional neural network, which augments the adaptability to features of different time scales. These features of different scales extracted from raw data are then fed into a Deep Gated Recurrent Unit network to capture long-term dependencies and learn significant representations. At the top of the MCGRU, a fully connected layer and a regression layer are built for cutting tool wear prediction. Two case studies are performed to verify the capability and effectiveness of the proposed MCGRU network and results show that MCGRU outperforms several state-of-the-art baseline models.
As an integrated application of modern information technologies and artificial intelligence, Prognostic and Health Management (PHM) is important for machine health monitoring. Prediction of tool wear is one of the symbolic applications of PHM technology in modern manufacturing systems and industry. In this paper, a multi-scale Convolutional Gated Recurrent Unit network (MCGRU) is proposed to address raw sensory data for tool wear prediction. At the bottom of MCGRU, six parallel and independent branches with different kernel sizes are designed to form a multi-scale convolutional neural network, which augments the adaptability to features of different time scales. These features of different scales extracted from raw data are then fed into a Deep Gated Recurrent Unit network to capture long-term dependencies and learn significant representations. At the top of the MCGRU, a fully connected layer and a regression layer are built for cutting tool wear prediction. Two case studies are performed to verify the capability and effectiveness of the proposed MCGRU network and results show that MCGRU outperforms several state-of-the-art baseline models.
2021, 34: 54.
doi: 10.1186/s10033-021-00569-0
Abstract:
Supervised fault diagnosis typically assumes that all the types of machinery failures are known. However, in practice unknown types of defect, i.e., novelties, may occur, whose detection is a challenging task. In this paper, a novel fault diagnostic method is developed for both diagnostics and detection of novelties. To this end, a sparse autoencoder-based multi-head Deep Neural Network (DNN) is presented to jointly learn a shared encoding representation for both unsupervised reconstruction and supervised classification of the monitoring data. The detection of novelties is based on the reconstruction error. Moreover, the computational burden is reduced by directly training the multi-head DNN with rectified linear unit activation function, instead of performing the pre-training and fine-tuning phases required for classical DNNs. The addressed method is applied to a benchmark bearing case study and to experimental data acquired from a delta 3D printer. The results show that its performance is satisfactory both in detection of novelties and fault diagnosis, outperforming other state-of-the-art methods. This research proposes a novel fault diagnostics method which can not only diagnose the known type of defect, but also detect unknown types of defects.
Supervised fault diagnosis typically assumes that all the types of machinery failures are known. However, in practice unknown types of defect, i.e., novelties, may occur, whose detection is a challenging task. In this paper, a novel fault diagnostic method is developed for both diagnostics and detection of novelties. To this end, a sparse autoencoder-based multi-head Deep Neural Network (DNN) is presented to jointly learn a shared encoding representation for both unsupervised reconstruction and supervised classification of the monitoring data. The detection of novelties is based on the reconstruction error. Moreover, the computational burden is reduced by directly training the multi-head DNN with rectified linear unit activation function, instead of performing the pre-training and fine-tuning phases required for classical DNNs. The addressed method is applied to a benchmark bearing case study and to experimental data acquired from a delta 3D printer. The results show that its performance is satisfactory both in detection of novelties and fault diagnosis, outperforming other state-of-the-art methods. This research proposes a novel fault diagnostics method which can not only diagnose the known type of defect, but also detect unknown types of defects.
2021, 34: 62.
doi: 10.1186/s10033-021-00576-1
Abstract:
The remaining useful life (RUL) estimation of bearings is critical for ensuring the reliability of mechanical systems. Owing to the rapid development of deep learning methods, a multitude of data-driven RUL estimation approaches have been proposed recently. However, the following problems remain in existing methods: 1) Most network models use raw data or statistical features as input, which renders it difficult to extract complex fault-related information hidden in signals; 2) for current observations, the dependence between current states is emphasized, but their complex dependence on previous states is often disregarded; 3) the output of neural networks is directly used as the estimated RUL in most studies, resulting in extremely volatile prediction results that lack robustness. Hence, a novel prognostics approach is proposed based on a time-frequency representation (TFR) subsequence, three-dimensional convolutional neural network (3DCNN), and Gaussian process regression (GPR). The approach primarily comprises two aspects: construction of a health indicator (HI) using the TFR-subsequence-3DCNN model, and RUL estimation based on the GPR model. The raw signals of the bearings are converted into TFR-subsequences by continuous wavelet transform and a dislocated overlapping strategy. Subsequently, the 3DCNN is applied to extract the hidden spatiotemporal features from the TFR-subsequences and construct HIs. Finally, the RUL of the bearings is estimated using the GPR model, which can also define the probability distribution of the potential function and prediction confidence. Experiments on the PRONOSTIA platform demonstrate the superiority of the proposed TFR-subsequence-3DCNN-GPR approach. The use of degradation-related spatiotemporal features in signals is proposed herein to achieve a highly accurate bearing RUL prediction with uncertainty quantification.
The remaining useful life (RUL) estimation of bearings is critical for ensuring the reliability of mechanical systems. Owing to the rapid development of deep learning methods, a multitude of data-driven RUL estimation approaches have been proposed recently. However, the following problems remain in existing methods: 1) Most network models use raw data or statistical features as input, which renders it difficult to extract complex fault-related information hidden in signals; 2) for current observations, the dependence between current states is emphasized, but their complex dependence on previous states is often disregarded; 3) the output of neural networks is directly used as the estimated RUL in most studies, resulting in extremely volatile prediction results that lack robustness. Hence, a novel prognostics approach is proposed based on a time-frequency representation (TFR) subsequence, three-dimensional convolutional neural network (3DCNN), and Gaussian process regression (GPR). The approach primarily comprises two aspects: construction of a health indicator (HI) using the TFR-subsequence-3DCNN model, and RUL estimation based on the GPR model. The raw signals of the bearings are converted into TFR-subsequences by continuous wavelet transform and a dislocated overlapping strategy. Subsequently, the 3DCNN is applied to extract the hidden spatiotemporal features from the TFR-subsequences and construct HIs. Finally, the RUL of the bearings is estimated using the GPR model, which can also define the probability distribution of the potential function and prediction confidence. Experiments on the PRONOSTIA platform demonstrate the superiority of the proposed TFR-subsequence-3DCNN-GPR approach. The use of degradation-related spatiotemporal features in signals is proposed herein to achieve a highly accurate bearing RUL prediction with uncertainty quantification.
2021, 34: 70.
doi: 10.1186/s10033-021-00585-0
Abstract:
In the digital image correlation research of fatigue crack growth rate, the accuracy of the crack tip position determines the accuracy of the calculation of the stress intensity factor, thereby affecting the life prediction. This paper proposes a Gauss-Newton iteration method for solving the crack tip position. The conventional linear fitting method provides an iterative initial solution for this method, and the preconditioned conjugate gradient method is used to solve the ill-conditioned matrix. A noise-added artificial displacement field is used to verify the feasibility of the method, which shows that all parameters can be solved with satisfactory results. The actual stress intensity factor solution case shows that the stress intensity factor value obtained by the method in this paper is very close to the finite element result, and the relative error between the two is only − 0.621%; The Williams coefficient obtained by this method can also better define the contour of the plastic zone at the crack tip, and the maximum relative error with the test plastic zone area is − 11.29%. The relative error between the contour of the plastic zone defined by the conventional method and the area of the experimental plastic zone reached a maximum of 26.05%. The crack tip coordinates, stress intensity factors, and plastic zone contour changes in the loading and unloading phases are explored. The results show that the crack tip change during the loading process is faster than the change during the unloading process; the stress intensity factor during the unloading process under the same load condition is larger than that during the loading process; under the same load, the theoretical plastic zone during the unloading process is higher than that during the loading process.
In the digital image correlation research of fatigue crack growth rate, the accuracy of the crack tip position determines the accuracy of the calculation of the stress intensity factor, thereby affecting the life prediction. This paper proposes a Gauss-Newton iteration method for solving the crack tip position. The conventional linear fitting method provides an iterative initial solution for this method, and the preconditioned conjugate gradient method is used to solve the ill-conditioned matrix. A noise-added artificial displacement field is used to verify the feasibility of the method, which shows that all parameters can be solved with satisfactory results. The actual stress intensity factor solution case shows that the stress intensity factor value obtained by the method in this paper is very close to the finite element result, and the relative error between the two is only − 0.621%; The Williams coefficient obtained by this method can also better define the contour of the plastic zone at the crack tip, and the maximum relative error with the test plastic zone area is − 11.29%. The relative error between the contour of the plastic zone defined by the conventional method and the area of the experimental plastic zone reached a maximum of 26.05%. The crack tip coordinates, stress intensity factors, and plastic zone contour changes in the loading and unloading phases are explored. The results show that the crack tip change during the loading process is faster than the change during the unloading process; the stress intensity factor during the unloading process under the same load condition is larger than that during the loading process; under the same load, the theoretical plastic zone during the unloading process is higher than that during the loading process.
2021, 34: 72.
doi: 10.1186/s10033-021-00568-1
Abstract:
Environmental perception is one of the key technologies to realize autonomous vehicles. Autonomous vehicles are often equipped with multiple sensors to form a multi-source environmental perception system. Those sensors are very sensitive to light or background conditions, which will introduce a variety of global and local fault signals that bring great safety risks to autonomous driving system during long-term running. In this paper, a real-time data fusion network with fault diagnosis and fault tolerance mechanism is designed. By introducing prior features to realize the lightweight network, the features of the input data can be extracted in real time. A new sensor reliability evaluation method is proposed by calculating the global and local confidence of sensors. Through the temporal and spatial correlation between sensor data, the sensor redundancy is utilized to diagnose the local and global confidence level of sensor data in real time, eliminate the fault data, and ensure the accuracy and reliability of data fusion. Experiments show that the network achieves state-of-the-art results in speed and accuracy, and can accurately detect the location of the target when some sensors are out of focus or out of order. The fusion framework proposed in this paper is proved to be effective for intelligent vehicles in terms of real-time performance and reliability.
Environmental perception is one of the key technologies to realize autonomous vehicles. Autonomous vehicles are often equipped with multiple sensors to form a multi-source environmental perception system. Those sensors are very sensitive to light or background conditions, which will introduce a variety of global and local fault signals that bring great safety risks to autonomous driving system during long-term running. In this paper, a real-time data fusion network with fault diagnosis and fault tolerance mechanism is designed. By introducing prior features to realize the lightweight network, the features of the input data can be extracted in real time. A new sensor reliability evaluation method is proposed by calculating the global and local confidence of sensors. Through the temporal and spatial correlation between sensor data, the sensor redundancy is utilized to diagnose the local and global confidence level of sensor data in real time, eliminate the fault data, and ensure the accuracy and reliability of data fusion. Experiments show that the network achieves state-of-the-art results in speed and accuracy, and can accurately detect the location of the target when some sensors are out of focus or out of order. The fusion framework proposed in this paper is proved to be effective for intelligent vehicles in terms of real-time performance and reliability.
2021, 34: 74.
doi: 10.1186/s10033-021-00590-3
Abstract:
A comparative study of model predictive control (MPC) schemes and robust\begin{document}$H_{\infty }$\end{document} state feedback control (RSC) method for trajectory tracking is proposed in this paper. The main objective of this paper is to compare MPC and RSC controllers' performance in tracking predefined trajectory under different scenarios. MPC controller is designed based on the simple longitudinal-yaw-lateral motions of a single-track vehicle with a linear tire, which is an approximation of the more realistic model of a vehicle with double-track motion with a non-linear tire mode. RSC is designed on the basis of the same method as adopted for the MPC controller to achieve a fair comparison. Then, three test cases are built in CarSim-Simulink joint platform. Specifically, the verification test is used to test the tracking accuracy of MPC and RSC controller under well road conditions. Besides, the double lane change test with low road adhesion is designed to find the maximum velocity that both controllers can carry out while guaranteeing stability. Furthermore, an extreme curve test is built where the road adhesion changes suddenly, in order to test the performance of both controllers under extreme conditions. Finally, the advantages and disadvantages of MPC and RSC under different scenarios are also discussed.
A comparative study of model predictive control (MPC) schemes and robust
2021, 34: 78.
doi: 10.1186/s10033-021-00598-9
Abstract:
To reduce the discrepancy between the source and target domains, a new multi-label adaptation network (ML-ANet) based on multiple kernel variants with maximum mean discrepancies is proposed in this paper. The hidden representations of the task-specific layers in ML-ANet are embedded in the reproducing kernel Hilbert space (RKHS) so that the mean-embeddings of specific features in different domains could be precisely matched. Multiple kernel functions are used to improve feature distribution efficiency for explicit mean embedding matching, which can further reduce domain discrepancy. Adverse weather and cross-camera adaptation examinations are conducted to verify the effectiveness of our proposed ML-ANet. The results show that our proposed ML-ANet achieves higher accuracies than the compared state-of-the-art methods for multi-label image classification in both the adverse weather adaptation and cross-camera adaptation experiments. These results indicate that ML-ANet can alleviate the reliance on fully labeled training data and improve the accuracy of multi-label image classification in various domain shift scenarios.
To reduce the discrepancy between the source and target domains, a new multi-label adaptation network (ML-ANet) based on multiple kernel variants with maximum mean discrepancies is proposed in this paper. The hidden representations of the task-specific layers in ML-ANet are embedded in the reproducing kernel Hilbert space (RKHS) so that the mean-embeddings of specific features in different domains could be precisely matched. Multiple kernel functions are used to improve feature distribution efficiency for explicit mean embedding matching, which can further reduce domain discrepancy. Adverse weather and cross-camera adaptation examinations are conducted to verify the effectiveness of our proposed ML-ANet. The results show that our proposed ML-ANet achieves higher accuracies than the compared state-of-the-art methods for multi-label image classification in both the adverse weather adaptation and cross-camera adaptation experiments. These results indicate that ML-ANet can alleviate the reliance on fully labeled training data and improve the accuracy of multi-label image classification in various domain shift scenarios.
2021, 34: 79.
doi: 10.1186/s10033-021-00600-4
Abstract:
Due to the bus characteristics of large quality, high center of gravity and narrow wheelbase, the research of its yaw stability control (YSC) system has become the focus in the field of vehicle system dynamics. However, the tire nonlinear mechanical properties and the effectiveness of the YSC control system are not considered carefully in the current research. In this paper, a novel adaptive nonsingular fast terminal sliding mode (ANFTSM) control scheme for YSC is proposed to improve the bus curve driving stability and safety on slippery roads. Firstly, the STI (Systems Technologies Inc.) tire model, which can effectively reflect the nonlinear coupling relationship between the tire longitudinal force and lateral force, is established based on experimental data and firstly adopted in the bus YSC system design. On this basis, a more accurate bus lateral dynamics model is built and a novel YSC strategy based on ANFTSM, which has the merits of fast transient response, finite time convergence and high robustness against uncertainties and external disturbances, is designed. Thirdly, to solve the optimal allocation problem of the tire forces, whose objective is to achieve the desired direct yaw moment through the effective distribution of the brake force of each tire, the robust least-squares allocation method is adopted. To verify the feasibility, effectiveness and practicality of the proposed bus YSC approach, the TruckSim-Simulink co-simulation results are finally provided. The co-simulation results show that the lateral stability of bus under special driving conditions has been significantly improved. This research proposes a more effective design method for bus YSC system based on a more accurate tire model.
Due to the bus characteristics of large quality, high center of gravity and narrow wheelbase, the research of its yaw stability control (YSC) system has become the focus in the field of vehicle system dynamics. However, the tire nonlinear mechanical properties and the effectiveness of the YSC control system are not considered carefully in the current research. In this paper, a novel adaptive nonsingular fast terminal sliding mode (ANFTSM) control scheme for YSC is proposed to improve the bus curve driving stability and safety on slippery roads. Firstly, the STI (Systems Technologies Inc.) tire model, which can effectively reflect the nonlinear coupling relationship between the tire longitudinal force and lateral force, is established based on experimental data and firstly adopted in the bus YSC system design. On this basis, a more accurate bus lateral dynamics model is built and a novel YSC strategy based on ANFTSM, which has the merits of fast transient response, finite time convergence and high robustness against uncertainties and external disturbances, is designed. Thirdly, to solve the optimal allocation problem of the tire forces, whose objective is to achieve the desired direct yaw moment through the effective distribution of the brake force of each tire, the robust least-squares allocation method is adopted. To verify the feasibility, effectiveness and practicality of the proposed bus YSC approach, the TruckSim-Simulink co-simulation results are finally provided. The co-simulation results show that the lateral stability of bus under special driving conditions has been significantly improved. This research proposes a more effective design method for bus YSC system based on a more accurate tire model.
2021, 34: 81.
doi: 10.1186/s10033-021-00602-2
Abstract:
Current works of environmental perception for connected autonomous electrified vehicles (CAEVs) mainly focus on the object detection task in good weather and illumination conditions, they often perform poorly in adverse scenarios and have a vague scene parsing ability. This paper aims to develop an end-to-end sharpening mixture of experts (SMoE) fusion framework to improve the robustness and accuracy of the perception systems for CAEVs in complex illumination and weather conditions. Three original contributions make our work distinctive from the existing relevant literature. The Complex KITTI dataset is introduced which consists of 7481 pairs of modified KITTI RGB images and the generated LiDAR dense depth maps, and this dataset is fine annotated in instance-level with the proposed semi-automatic annotation method. The SMoE fusion approach is devised to adaptively learn the robust kernels from complementary modalities. Comprehensive comparative experiments are implemented, and the results show that the proposed SMoE framework yield significant improvements over the other fusion techniques in adverse environmental conditions. This research proposes a SMoE fusion framework to improve the scene parsing ability of the perception systems for CAEVs in adverse conditions.
Current works of environmental perception for connected autonomous electrified vehicles (CAEVs) mainly focus on the object detection task in good weather and illumination conditions, they often perform poorly in adverse scenarios and have a vague scene parsing ability. This paper aims to develop an end-to-end sharpening mixture of experts (SMoE) fusion framework to improve the robustness and accuracy of the perception systems for CAEVs in complex illumination and weather conditions. Three original contributions make our work distinctive from the existing relevant literature. The Complex KITTI dataset is introduced which consists of 7481 pairs of modified KITTI RGB images and the generated LiDAR dense depth maps, and this dataset is fine annotated in instance-level with the proposed semi-automatic annotation method. The SMoE fusion approach is devised to adaptively learn the robust kernels from complementary modalities. Comprehensive comparative experiments are implemented, and the results show that the proposed SMoE framework yield significant improvements over the other fusion techniques in adverse environmental conditions. This research proposes a SMoE fusion framework to improve the scene parsing ability of the perception systems for CAEVs in adverse conditions.
2021, 34: 83.
doi: 10.1186/s10033-021-00601-3
Abstract:
Most researches focus on the regenerative braking system design in vehicle components control and braking torque distribution, few combine the connected vehicle technologies into braking velocity planning. If the braking intention is accessed by the vehicle-to-everything communication, the electric vehicles (EVs) could plan the braking velocity for recovering more vehicle kinetic energy. Therefore, this paper presents an energy-optimal braking strategy (EOBS) to improve the energy efficiency of EVs with the consideration of shared braking intention. First, a double-layer control scheme is formulated. In the upper-layer, an energy-optimal braking problem with accessed braking intention is formulated and solved by the distance-based dynamic programming algorithm, which could derive the energy-optimal braking trajectory. In the lower-layer, the nonlinear time-varying vehicle longitudinal dynamics is transformed to the linear time-varying system, then an efficient model predictive controller is designed and solved by quadratic programming algorithm to track the original energy-optimal braking trajectory while ensuring braking comfort and safety. Several simulations are conducted by jointing MATLAB and CarSim, the results demonstrated the proposed EOBS achieves prominent regeneration energy improvement than the regular constant deceleration braking strategy. Finally, the energy-optimal braking mechanism of EVs is investigated based on the analysis of braking deceleration, battery charging power, and motor efficiency, which could be a guide to real-time control.
Most researches focus on the regenerative braking system design in vehicle components control and braking torque distribution, few combine the connected vehicle technologies into braking velocity planning. If the braking intention is accessed by the vehicle-to-everything communication, the electric vehicles (EVs) could plan the braking velocity for recovering more vehicle kinetic energy. Therefore, this paper presents an energy-optimal braking strategy (EOBS) to improve the energy efficiency of EVs with the consideration of shared braking intention. First, a double-layer control scheme is formulated. In the upper-layer, an energy-optimal braking problem with accessed braking intention is formulated and solved by the distance-based dynamic programming algorithm, which could derive the energy-optimal braking trajectory. In the lower-layer, the nonlinear time-varying vehicle longitudinal dynamics is transformed to the linear time-varying system, then an efficient model predictive controller is designed and solved by quadratic programming algorithm to track the original energy-optimal braking trajectory while ensuring braking comfort and safety. Several simulations are conducted by jointing MATLAB and CarSim, the results demonstrated the proposed EOBS achieves prominent regeneration energy improvement than the regular constant deceleration braking strategy. Finally, the energy-optimal braking mechanism of EVs is investigated based on the analysis of braking deceleration, battery charging power, and motor efficiency, which could be a guide to real-time control.
2021, 34: 84.
doi: 10.1186/s10033-021-00607-x
Abstract:
A compound oscillatory roller reducer (CORR) with a first-stage gear transmission and a second-stage oscillatory roller transmission is presented. The transmission principle of oscillatory roller transmission is introduced, and the tooth profile equation of the inner gear is derived. The analytical model of mesh force considering the installation errors and manufacturing errors is proposed. Then, parametric studies considering different errors on the mesh force are conducted. Results show that the design parameters are significant factors for mesh force. The mesh force is reduced by 17% as the eccentricity of disk cam increases from 2.5 mm to 4 mm. When the radius of the movable roller increases from 7 mm to 20 mm, the mesh force decreases by 8%. As the radius of disk cam increases from 125 mm to 170 mm, the mesh force is decreased by 26.5%. For the impacts of errors, the mesh force has a noticeable fluctuation when these errors exist including the manufacturing error of disk cam, the installation error of disk cam and the manufacturing error of movable roller change. The prototype of the reducer is manufactured and preliminary run-in test proved the feasibility of the transmission principle.
A compound oscillatory roller reducer (CORR) with a first-stage gear transmission and a second-stage oscillatory roller transmission is presented. The transmission principle of oscillatory roller transmission is introduced, and the tooth profile equation of the inner gear is derived. The analytical model of mesh force considering the installation errors and manufacturing errors is proposed. Then, parametric studies considering different errors on the mesh force are conducted. Results show that the design parameters are significant factors for mesh force. The mesh force is reduced by 17% as the eccentricity of disk cam increases from 2.5 mm to 4 mm. When the radius of the movable roller increases from 7 mm to 20 mm, the mesh force decreases by 8%. As the radius of disk cam increases from 125 mm to 170 mm, the mesh force is decreased by 26.5%. For the impacts of errors, the mesh force has a noticeable fluctuation when these errors exist including the manufacturing error of disk cam, the installation error of disk cam and the manufacturing error of movable roller change. The prototype of the reducer is manufactured and preliminary run-in test proved the feasibility of the transmission principle.
2021, 34: 86.
doi: 10.1186/s10033-021-00604-0
Abstract:
Under the influence of crosswinds, the running safety of trains will decrease sharply, so it is necessary to optimize the suspension parameters of trains. This paper studies the dynamic performance of high-speed trains under crosswind conditions, and optimizes the running safety of train. A computational fluid dynamics simulation was used to determine the aerodynamic loads and moments experienced by a train. A series of dynamic models of a train, with different dynamic parameters were constructed, and analyzed, with safety metrics for these being determined. Finally, a surrogate model was built and an optimization algorithm was used upon this surrogate model, to find the minimum possible values for: derailment coefficient, vertical wheel-rail contact force, wheel load reduction ratio, wheel lateral force and overturning coefficient. There were 9 design variables, all associated with the dynamic parameters of the bogie. When the train was running with the speed of 350 km/h, under a crosswind speed of 15 m/s, the benchmark dynamic model performed poorly. The derailment coefficient was 1.31. The vertical wheel-rail contact force was 133.30 kN. The wheel load reduction rate was 0.643. The wheel lateral force was 85.67 kN, and the overturning coefficient was 0.425. After optimization, under the same running conditions, the metrics of the train were 0.268, 100.44 kN, 0.474, 34.36 kN, and 0.421, respectively. This paper show that by combining train aerodynamics, vehicle system dynamics and many-objective optimization theory, a train's stability can be more comprehensively analyzed, with more safety metrics being considered.
Under the influence of crosswinds, the running safety of trains will decrease sharply, so it is necessary to optimize the suspension parameters of trains. This paper studies the dynamic performance of high-speed trains under crosswind conditions, and optimizes the running safety of train. A computational fluid dynamics simulation was used to determine the aerodynamic loads and moments experienced by a train. A series of dynamic models of a train, with different dynamic parameters were constructed, and analyzed, with safety metrics for these being determined. Finally, a surrogate model was built and an optimization algorithm was used upon this surrogate model, to find the minimum possible values for: derailment coefficient, vertical wheel-rail contact force, wheel load reduction ratio, wheel lateral force and overturning coefficient. There were 9 design variables, all associated with the dynamic parameters of the bogie. When the train was running with the speed of 350 km/h, under a crosswind speed of 15 m/s, the benchmark dynamic model performed poorly. The derailment coefficient was 1.31. The vertical wheel-rail contact force was 133.30 kN. The wheel load reduction rate was 0.643. The wheel lateral force was 85.67 kN, and the overturning coefficient was 0.425. After optimization, under the same running conditions, the metrics of the train were 0.268, 100.44 kN, 0.474, 34.36 kN, and 0.421, respectively. This paper show that by combining train aerodynamics, vehicle system dynamics and many-objective optimization theory, a train's stability can be more comprehensively analyzed, with more safety metrics being considered.
2021, 34: 87.
doi: 10.1186/s10033-021-00605-z
Abstract:
It is very necessary for an intelligent heavy truck to have the ability to prevent rollover independently. However, it was rarely considered in intelligent vehicle motion planning. To improve rollover stability, a motion planning strategy with autonomous anti rollover ability for an intelligent heavy truck is put forward in this paper. Considering the influence of unsprung mass in the front axle and the rear axle and the body roll stiffness on vehicle rollover stability, a rollover dynamics model is built for the intelligent heavy truck. From the model, a novel rollover index is derived to evaluate vehicle rollover risk accurately, and a model predictive control algorithm is applicated to design the motion planning strategy for the intelligent heavy truck, which integrates the vehicle rollover stability, the artificial potential field for the obstacle avoidance, the path tracking and vehicle dynamics constrains. Then, the optimal path is obtained to meet the requirements that the intelligent heavy truck can avoid obstacles and drive stably without rollover. In addition, three typical scenarios are designed to numerically simulate the dynamic performance of the intelligent heavy truck. The results show that the proposed motion planning strategy can avoid collisions and improve vehicle rollover stability effectively even under the worst driving scenarios.
It is very necessary for an intelligent heavy truck to have the ability to prevent rollover independently. However, it was rarely considered in intelligent vehicle motion planning. To improve rollover stability, a motion planning strategy with autonomous anti rollover ability for an intelligent heavy truck is put forward in this paper. Considering the influence of unsprung mass in the front axle and the rear axle and the body roll stiffness on vehicle rollover stability, a rollover dynamics model is built for the intelligent heavy truck. From the model, a novel rollover index is derived to evaluate vehicle rollover risk accurately, and a model predictive control algorithm is applicated to design the motion planning strategy for the intelligent heavy truck, which integrates the vehicle rollover stability, the artificial potential field for the obstacle avoidance, the path tracking and vehicle dynamics constrains. Then, the optimal path is obtained to meet the requirements that the intelligent heavy truck can avoid obstacles and drive stably without rollover. In addition, three typical scenarios are designed to numerically simulate the dynamic performance of the intelligent heavy truck. The results show that the proposed motion planning strategy can avoid collisions and improve vehicle rollover stability effectively even under the worst driving scenarios.
2021, 34: 88.
doi: 10.1186/s10033-021-00597-w
Abstract:
This paper presents a novel neural-fuzzy-based adaptive sliding mode automatic steering control strategy to improve the driving performance of vision-based unmanned electric vehicles with time-varying and uncertain parameters. Primarily, the kinematic and dynamic models which accurately express the steering behaviors of vehicles are constructed, and in which the relationship between the look-ahead time and vehicle velocity is revealed. Then, in order to overcome the external disturbances, parametric uncertainties and time-varying features of vehicles, a neural-fuzzy-based adaptive sliding mode automatic steering controller is proposed to supervise the lateral dynamic behavior of unmanned electric vehicles, which includes an equivalent control law and an adaptive variable structure control law. In this novel automatic steering control system of vehicles, a neural network system is utilized for approximating the switching control gain of variable structure control law, and a fuzzy inference system is presented to adjust the thickness of boundary layer in real-time. The stability of closed-loop neural-fuzzy-based adaptive sliding mode automatic steering control system is proven using the Lyapunov theory. Finally, the results illustrate that the presented control scheme has the excellent properties in term of error convergence and robustness.
This paper presents a novel neural-fuzzy-based adaptive sliding mode automatic steering control strategy to improve the driving performance of vision-based unmanned electric vehicles with time-varying and uncertain parameters. Primarily, the kinematic and dynamic models which accurately express the steering behaviors of vehicles are constructed, and in which the relationship between the look-ahead time and vehicle velocity is revealed. Then, in order to overcome the external disturbances, parametric uncertainties and time-varying features of vehicles, a neural-fuzzy-based adaptive sliding mode automatic steering controller is proposed to supervise the lateral dynamic behavior of unmanned electric vehicles, which includes an equivalent control law and an adaptive variable structure control law. In this novel automatic steering control system of vehicles, a neural network system is utilized for approximating the switching control gain of variable structure control law, and a fuzzy inference system is presented to adjust the thickness of boundary layer in real-time. The stability of closed-loop neural-fuzzy-based adaptive sliding mode automatic steering control system is proven using the Lyapunov theory. Finally, the results illustrate that the presented control scheme has the excellent properties in term of error convergence and robustness.
2021, 34: 89.
doi: 10.1186/s10033-021-00609-9
Abstract:
Researchers have recently attempted to monitor pool oscillations using the three-dimensional laser vision method. However, the deficiency of simulation software will result in significant capital expenditure. Both simulations and experiments are performed in this study, and the Bessel equation is used to analyze the oscillation mode of a weld pool. The laser dot matrix images of (0, 1), (1, 1), (2, 1), and (0, 2) oscillation modes at different times are obtained via structured laser optical measurement simulation. The oscillation mode of a stationary gas tungsten arc weld pool is analyzed based on laser dot matrix images obtained from a structure laser experiment. Results show that the simulated laser dot matrix images are consistent with the experiment results. The oscillation mode of the weld pool can be recognized based on the laser dot matrix image. This study not only provides conditions for assessing the penetrating state of a weld pool, but also enable a further understanding of the oscillation mode of a weld pool and the development of more effective observation methods and measurement tools to effectively control and improve welding quality.
Researchers have recently attempted to monitor pool oscillations using the three-dimensional laser vision method. However, the deficiency of simulation software will result in significant capital expenditure. Both simulations and experiments are performed in this study, and the Bessel equation is used to analyze the oscillation mode of a weld pool. The laser dot matrix images of (0, 1), (1, 1), (2, 1), and (0, 2) oscillation modes at different times are obtained via structured laser optical measurement simulation. The oscillation mode of a stationary gas tungsten arc weld pool is analyzed based on laser dot matrix images obtained from a structure laser experiment. Results show that the simulated laser dot matrix images are consistent with the experiment results. The oscillation mode of the weld pool can be recognized based on the laser dot matrix image. This study not only provides conditions for assessing the penetrating state of a weld pool, but also enable a further understanding of the oscillation mode of a weld pool and the development of more effective observation methods and measurement tools to effectively control and improve welding quality.
2021, 34: 91.
doi: 10.1186/s10033-021-00616-w
Abstract:
In hydraulic area, independent metering control (IMC) technology is an effective approach to improve system efficiency and control flexibility. In addition, digital hydraulic technology (DHT) has been verified as a reasonable method to optimize system dynamic performance. Integrating these two technologies into one component can combine their advantages together. However, few works focused on it. In this paper, a twin spools valve with switching technology-controlled pilot stage (TSVSP) is presented, which applied DHT into its pilot stage while appending IMC into its main stage. Based on this prototype valve, a series of numerical and experiment analysis of its IMC performance with both simulated load and excavator boom cylinder are carried out. Results showed fast and robust performance of pressure and flow compound control with acceptable fluctuation phenomenon caused by switching technology. Rising time of flow response in excavator cylinder can be controlled within 200 ms, meanwhile, the recovery time of rod chamber pressure under suddenly changed condition is optimized within 250 ms. IMC system based on TSVSP can improve both dynamic performance and robust characteristics of the target actuator so it is practical in valve-cylinder system and can be applied in mobile machineries.
In hydraulic area, independent metering control (IMC) technology is an effective approach to improve system efficiency and control flexibility. In addition, digital hydraulic technology (DHT) has been verified as a reasonable method to optimize system dynamic performance. Integrating these two technologies into one component can combine their advantages together. However, few works focused on it. In this paper, a twin spools valve with switching technology-controlled pilot stage (TSVSP) is presented, which applied DHT into its pilot stage while appending IMC into its main stage. Based on this prototype valve, a series of numerical and experiment analysis of its IMC performance with both simulated load and excavator boom cylinder are carried out. Results showed fast and robust performance of pressure and flow compound control with acceptable fluctuation phenomenon caused by switching technology. Rising time of flow response in excavator cylinder can be controlled within 200 ms, meanwhile, the recovery time of rod chamber pressure under suddenly changed condition is optimized within 250 ms. IMC system based on TSVSP can improve both dynamic performance and robust characteristics of the target actuator so it is practical in valve-cylinder system and can be applied in mobile machineries.
2021, 34: 92.
doi: 10.1186/s10033-021-00599-8
Abstract:
Nickel-based alloy coatings were widely used for the remanufacturing of dies and moulds by laser cladding, but the crack sensitivity would be increase due to the higher strength and hardness, which reduced the wear resistance of Ni-based alloys. In this paper, Ni-based coatings with the addition of a plastic phase (an austenitic stainless net) were prepared using laser cladding technology, and the CeO2 was added in cladding layers. The cracking mechanism, microhardness, microstructure, phase composition, and wear properties were investigated. The relationship between thermal stress and the elastic and plastic fracture had been developed from the standpoint of fracture mechanics and thermal elastic fracture mechanics. The fracture criterion of the nickel-based coating was obtained, and the study has shown that the crack sensitivity could be reduced by decreasing the thermal expansion coefficient Δα. Thus, a new method was proposed, which the stainless steel nets were prefabricated on the substrate. It was found that the number of cracks reduced significantly with the addition of stainless steel net. When the stainless steel net with 14 mesh was added in Ni-based coatings, the average microhardness of nickel composite coating was 565 HV0.2, which was 2.6 times higher than that of the 45 steel substrate. Although the rare earth oxide 4 wt.% CeO2 and stainless steel net were added in the Ni-based coating reducing the microhardness (the average microhardness is 425 HV0.2), the wear resistance of it improved substantially. The wear volume of Ni-based composite coating was 0.56×10−5 mm3·N−1·m−1, which was 85.1% lower than that of 45 steel. The experiment results have shown that the Nickel-based composite coating is equipped with low crack sensitivity and high abrasive resistance with austenitic stainless net and the rare earth oxide 4 wt.% CeO2. This research offers an efficient solution to produce components with low crack susceptibility and high wear-resistance coatings fabricated by laser cladding.
Nickel-based alloy coatings were widely used for the remanufacturing of dies and moulds by laser cladding, but the crack sensitivity would be increase due to the higher strength and hardness, which reduced the wear resistance of Ni-based alloys. In this paper, Ni-based coatings with the addition of a plastic phase (an austenitic stainless net) were prepared using laser cladding technology, and the CeO2 was added in cladding layers. The cracking mechanism, microhardness, microstructure, phase composition, and wear properties were investigated. The relationship between thermal stress and the elastic and plastic fracture had been developed from the standpoint of fracture mechanics and thermal elastic fracture mechanics. The fracture criterion of the nickel-based coating was obtained, and the study has shown that the crack sensitivity could be reduced by decreasing the thermal expansion coefficient Δα. Thus, a new method was proposed, which the stainless steel nets were prefabricated on the substrate. It was found that the number of cracks reduced significantly with the addition of stainless steel net. When the stainless steel net with 14 mesh was added in Ni-based coatings, the average microhardness of nickel composite coating was 565 HV0.2, which was 2.6 times higher than that of the 45 steel substrate. Although the rare earth oxide 4 wt.% CeO2 and stainless steel net were added in the Ni-based coating reducing the microhardness (the average microhardness is 425 HV0.2), the wear resistance of it improved substantially. The wear volume of Ni-based composite coating was 0.56×10−5 mm3·N−1·m−1, which was 85.1% lower than that of 45 steel. The experiment results have shown that the Nickel-based composite coating is equipped with low crack sensitivity and high abrasive resistance with austenitic stainless net and the rare earth oxide 4 wt.% CeO2. This research offers an efficient solution to produce components with low crack susceptibility and high wear-resistance coatings fabricated by laser cladding.
2021, 34: 93.
doi: 10.1186/s10033-021-00615-x
Abstract:
In recent years, addressing ill-posed problems by leveraging prior knowledge contained in databases on learning techniques has gained much attention. In this paper, we focus on complete three-dimensional (3D) point cloud reconstruction based on a single red-green-blue (RGB) image, a task that cannot be approached using classical reconstruction techniques. For this purpose, we used an encoder-decoder framework to encode the RGB information in latent space, and to predict the 3D structure of the considered object from different viewpoints. The individual predictions are combined to yield a common representation that is used in a module combining camera pose estimation and rendering, thereby achieving differentiability with respect to imaging process and the camera pose, and optimization of the two-dimensional prediction error of novel viewpoints. Thus, our method allows end-to-end training and does not require supervision based on additional ground-truth (GT) mask annotations or ground-truth camera pose annotations. Our evaluation of synthetic and real-world data demonstrates the robustness of our approach to appearance changes and self-occlusions, through outperformance of current state-of-the-art methods in terms of accuracy, density, and model completeness.
In recent years, addressing ill-posed problems by leveraging prior knowledge contained in databases on learning techniques has gained much attention. In this paper, we focus on complete three-dimensional (3D) point cloud reconstruction based on a single red-green-blue (RGB) image, a task that cannot be approached using classical reconstruction techniques. For this purpose, we used an encoder-decoder framework to encode the RGB information in latent space, and to predict the 3D structure of the considered object from different viewpoints. The individual predictions are combined to yield a common representation that is used in a module combining camera pose estimation and rendering, thereby achieving differentiability with respect to imaging process and the camera pose, and optimization of the two-dimensional prediction error of novel viewpoints. Thus, our method allows end-to-end training and does not require supervision based on additional ground-truth (GT) mask annotations or ground-truth camera pose annotations. Our evaluation of synthetic and real-world data demonstrates the robustness of our approach to appearance changes and self-occlusions, through outperformance of current state-of-the-art methods in terms of accuracy, density, and model completeness.
2021, 34: 95.
doi: 10.1186/s10033-021-00608-w
Abstract:
A decrease in the weight of aerospace vehicles, large ships, weapons, and high-speed trains will increase the demand for wide-width magnesium alloy plates and their composite parts to replace steel and plastic. An investigation was conducted to study the variation in deformation behaviors along the transverse direction during the warm rolling of a 1480-mm-wide AZ31B plate. A uniaxial thermal compression test with a 59 % reduction was performed at different positions on a 13.7-mm-thick rolled plate along the width direction at a temperature of 220 ℃ and 270 ℃ and strain rate of 15 s−1. At the same time, the 13.7-mm-thick plate was rolled in a single pass to 5.6 mm on a mill with a 1725-mm-wide roll to confirm the thermal deformation behavior and the dynamic recrystallization (DRX). The results show that the main texture type does not change and the grain size does not have a clear deflection when the magnesium alloy plate reaches a certain value under rolling accumulative reduction. The grain size of a 13.7-mm-thick plate increases with a decrease in the distance to the center layer in the thickness direction. In the width direction, the edge (R6) first decreases and then increases toward the symmetric plane (R1). The critical stress required for dynamic recrystallization in the transition zone R3 of the rolled plate width is minimum, and the average grain size is minimum owing to the relatively complete recrystallization.
A decrease in the weight of aerospace vehicles, large ships, weapons, and high-speed trains will increase the demand for wide-width magnesium alloy plates and their composite parts to replace steel and plastic. An investigation was conducted to study the variation in deformation behaviors along the transverse direction during the warm rolling of a 1480-mm-wide AZ31B plate. A uniaxial thermal compression test with a 59 % reduction was performed at different positions on a 13.7-mm-thick rolled plate along the width direction at a temperature of 220 ℃ and 270 ℃ and strain rate of 15 s−1. At the same time, the 13.7-mm-thick plate was rolled in a single pass to 5.6 mm on a mill with a 1725-mm-wide roll to confirm the thermal deformation behavior and the dynamic recrystallization (DRX). The results show that the main texture type does not change and the grain size does not have a clear deflection when the magnesium alloy plate reaches a certain value under rolling accumulative reduction. The grain size of a 13.7-mm-thick plate increases with a decrease in the distance to the center layer in the thickness direction. In the width direction, the edge (R6) first decreases and then increases toward the symmetric plane (R1). The critical stress required for dynamic recrystallization in the transition zone R3 of the rolled plate width is minimum, and the average grain size is minimum owing to the relatively complete recrystallization.
2021, 34: 96.
doi: 10.1186/s10033-021-00614-y
Abstract:
A coupling dynamic model of a subway train and an embedded track is established to study the safety limits of track irregularities. The simulated vehicle system was a 74-degrees of freedom multi-rigid body model, and the rail was a Timoshenko beam. The slab was a three-dimensional solid finite element model. The sensitive wavelength irregularity was first studied, and then the safety limit of the sensitive wavelength was analyzed. The wheel-rail lateral force exhibited a substantial effect on the track alignment and gauge irregularity safety limit. The wheel-rail vertical force and the rate of wheel load reduction significantly affected the height and cross-level irregularity safety limit. The results demonstrate that the safety limits of the alignment, gauge, height, and cross-level embedded track geometric irregularity are 5.3 mm, [−10.5, 8] mm, 5.6 mm, and 6 mm, respectively.
A coupling dynamic model of a subway train and an embedded track is established to study the safety limits of track irregularities. The simulated vehicle system was a 74-degrees of freedom multi-rigid body model, and the rail was a Timoshenko beam. The slab was a three-dimensional solid finite element model. The sensitive wavelength irregularity was first studied, and then the safety limit of the sensitive wavelength was analyzed. The wheel-rail lateral force exhibited a substantial effect on the track alignment and gauge irregularity safety limit. The wheel-rail vertical force and the rate of wheel load reduction significantly affected the height and cross-level irregularity safety limit. The results demonstrate that the safety limits of the alignment, gauge, height, and cross-level embedded track geometric irregularity are 5.3 mm, [−10.5, 8] mm, 5.6 mm, and 6 mm, respectively.
2021, 34: 98.
doi: 10.1186/s10033-021-00610-2
Abstract:
Advanced mathematical tools are used to conduct research on the kinematics analysis of hybrid mechanisms, and the generalized analysis method and concise kinematics transfer matrix are obtained. In this study, first, according to the kinematics analysis of serial mechanisms, the basic principles of Lie groups and Lie algebras are briefly explained in dealing with the spatial switching and differential operations of screw vectors. Then, based on the standard ideas of Lie operations, the method for kinematics analysis of parallel mechanisms is derived, and Jacobian matrix and Hessian matrix are formulated recursively and in a closed form. Then, according to the mapping relationship between the parallel joints and corresponding equivalent series joints, a forward kinematics analysis method and two inverse kinematics analysis methods of hybrid mechanisms are examined. A case study is performed to verify the calculated matrices wherein a humanoid hybrid robotic arm with a parallel-series-parallel configuration is considered as an example. The results of a simulation experiment indicate that the obtained formulas are exact and the proposed method for kinematics analysis of hybrid mechanisms is practically feasible.
Advanced mathematical tools are used to conduct research on the kinematics analysis of hybrid mechanisms, and the generalized analysis method and concise kinematics transfer matrix are obtained. In this study, first, according to the kinematics analysis of serial mechanisms, the basic principles of Lie groups and Lie algebras are briefly explained in dealing with the spatial switching and differential operations of screw vectors. Then, based on the standard ideas of Lie operations, the method for kinematics analysis of parallel mechanisms is derived, and Jacobian matrix and Hessian matrix are formulated recursively and in a closed form. Then, according to the mapping relationship between the parallel joints and corresponding equivalent series joints, a forward kinematics analysis method and two inverse kinematics analysis methods of hybrid mechanisms are examined. A case study is performed to verify the calculated matrices wherein a humanoid hybrid robotic arm with a parallel-series-parallel configuration is considered as an example. The results of a simulation experiment indicate that the obtained formulas are exact and the proposed method for kinematics analysis of hybrid mechanisms is practically feasible.
2021, 34: 100.
doi: 10.1186/s10033-021-00618-8
Abstract:
Walking assistance can be realized by active and passive robotic walkers when their users walk on even roads. However, fast signal processing and real-time control are necessary for active robotic walkers when the users walk on slopes, while assistive forces cannot be provided by passive robotic walkers when the users walk uphill. A robotic walker with an active-passive hybrid actuator (APHA) was developed in this study. The APHA, which consists of a rotary magnetorheological (MR) brake and a DC motor, can provide mobility assistance to users walking both uphill and downhill via the cooperative operation of the MR brake and DC motor. The rotary MR brake was designed with a T-shaped configuration, and the system was optimized to minimize the brake volume. Prototypes of the APHA and robotic walker were constructed. A control algorithm for the robotic walker was developed based on the characteristics of the APHA and the structure of the robotic walker. The mechanical properties of the APHA were characterized, and experiments were conducted to evaluate the mobility assistance supplied by the robotic walker on different roads. The results show that the APHA can meet the requirements of the robotic walker, and suitable assistive forces can be provided by the robotic walker, which has a simple mechanical structure and control method.
Walking assistance can be realized by active and passive robotic walkers when their users walk on even roads. However, fast signal processing and real-time control are necessary for active robotic walkers when the users walk on slopes, while assistive forces cannot be provided by passive robotic walkers when the users walk uphill. A robotic walker with an active-passive hybrid actuator (APHA) was developed in this study. The APHA, which consists of a rotary magnetorheological (MR) brake and a DC motor, can provide mobility assistance to users walking both uphill and downhill via the cooperative operation of the MR brake and DC motor. The rotary MR brake was designed with a T-shaped configuration, and the system was optimized to minimize the brake volume. Prototypes of the APHA and robotic walker were constructed. A control algorithm for the robotic walker was developed based on the characteristics of the APHA and the structure of the robotic walker. The mechanical properties of the APHA were characterized, and experiments were conducted to evaluate the mobility assistance supplied by the robotic walker on different roads. The results show that the APHA can meet the requirements of the robotic walker, and suitable assistive forces can be provided by the robotic walker, which has a simple mechanical structure and control method.
2021, 34: 101.
doi: 10.1186/s10033-021-00623-x
Abstract:
Most of traditional traveling wave piezoelectric transducers are driven by two phase different excitation signals, leading to a complex control system and seriously limiting their applications in industry. To overcome these issues, a novel traveling wave sandwich piezoelectric transducer with a single-phase drive is proposed in this study. Traveling waves are produced in two driving rings of the transducer while the longitudinal vibration is excited in its sandwich composite beam, due to the coupling property of the combined structure. This results in the production of elliptical motions in the two driving rings to achieve the drive function. An analytical model is firstly developed using the transfer matrix method to analyze the dynamic behavior of the proposed transducer. Its vibration characteristics are measured and compared with computational results to validate the effectiveness of the proposed analytical model. Besides, the driving concept of the transducer is investigated by computing the motion trajectory of surface points of the driving ring and the quality of traveling wave of the driving ring. Additionally, application example investigations on the driving effect of the proposed transducer are carried out by constructing and assembling a tracked mobile system. Experimental results indicated that 1) the assembled tracked mobile system moved in the driving frequency of 19410 Hz corresponding to its maximum mean velocity through frequency sensitivity experiments; 2) motion characteristic and traction performance measurements of the system prototype presented its maximum mean velocity with 59 mm/s and its maximum stalling traction force with 1.65 N, at the excitation voltage of 500 VRMS. These experimental results demonstrate the feasibility of the proposed traveling wave sandwich piezoelectric transducer.
Most of traditional traveling wave piezoelectric transducers are driven by two phase different excitation signals, leading to a complex control system and seriously limiting their applications in industry. To overcome these issues, a novel traveling wave sandwich piezoelectric transducer with a single-phase drive is proposed in this study. Traveling waves are produced in two driving rings of the transducer while the longitudinal vibration is excited in its sandwich composite beam, due to the coupling property of the combined structure. This results in the production of elliptical motions in the two driving rings to achieve the drive function. An analytical model is firstly developed using the transfer matrix method to analyze the dynamic behavior of the proposed transducer. Its vibration characteristics are measured and compared with computational results to validate the effectiveness of the proposed analytical model. Besides, the driving concept of the transducer is investigated by computing the motion trajectory of surface points of the driving ring and the quality of traveling wave of the driving ring. Additionally, application example investigations on the driving effect of the proposed transducer are carried out by constructing and assembling a tracked mobile system. Experimental results indicated that 1) the assembled tracked mobile system moved in the driving frequency of 19410 Hz corresponding to its maximum mean velocity through frequency sensitivity experiments; 2) motion characteristic and traction performance measurements of the system prototype presented its maximum mean velocity with 59 mm/s and its maximum stalling traction force with 1.65 N, at the excitation voltage of 500 VRMS. These experimental results demonstrate the feasibility of the proposed traveling wave sandwich piezoelectric transducer.
2021, 34: 102.
doi: 10.1186/s10033-021-00620-0
Abstract:
This study proposes and experimentally validates an optimal integrated system to control the automotive continuously variable transmission (CVT) by Model Predictive Control (MPC) to achieve its expected transmission efficiency range. The control system framework consists of top and bottom layers. In the top layer, a driving intention recognition system is designed on the basis of fuzzy control strategy to determine the relationship between the driver intention and CVT target ratio at the corresponding time. In the bottom layer, a new slip state dynamic equation is obtained considering slip characteristics and its related constraints, and a clamping force bench is established. Innovatively, a joint controller based on model predictive control (MPC) is designed taking internal combustion engine torque and slip between the metal belt and pulley as optimization dual targets. A cycle is attained by solving the optimization target to achieve optimum engine torque and the input slip in real-time. Moreover, the new controller provides good robustness. Finally, performance is tested by actual CVT vehicles. Results show that compared with traditional control, the proposed control improves vehicle transmission efficiency by approximately 9.12%–9.35% with high accuracy.
This study proposes and experimentally validates an optimal integrated system to control the automotive continuously variable transmission (CVT) by Model Predictive Control (MPC) to achieve its expected transmission efficiency range. The control system framework consists of top and bottom layers. In the top layer, a driving intention recognition system is designed on the basis of fuzzy control strategy to determine the relationship between the driver intention and CVT target ratio at the corresponding time. In the bottom layer, a new slip state dynamic equation is obtained considering slip characteristics and its related constraints, and a clamping force bench is established. Innovatively, a joint controller based on model predictive control (MPC) is designed taking internal combustion engine torque and slip between the metal belt and pulley as optimization dual targets. A cycle is attained by solving the optimization target to achieve optimum engine torque and the input slip in real-time. Moreover, the new controller provides good robustness. Finally, performance is tested by actual CVT vehicles. Results show that compared with traditional control, the proposed control improves vehicle transmission efficiency by approximately 9.12%–9.35% with high accuracy.
2021, 34: 103.
doi: 10.1186/s10033-021-00626-8
Abstract:
The low cycle fatigue strength properties of the additively manufactured Ti-6Al-4V alloy are experimentally investigated under proportional and nonproportional multiaxial loading. The fatigue tests were conducted using hollow cylinder specimens with and without heat treatments, at room temperature in air. Two fatigue tests were conducted: one for proportional loading and one for nonproportional loading. The proportional loading was represented by a push-pull strain path (PP) and the nonproportional loading by a circle strain path (CI). The failure lives of the additively manufactured specimens were clearly reduced drastically by internal voids and defects. However, the sizes of the defects were measured, and the defects were found not to cause a reduction in fatigue strength above a critical size. The fracture surface was observed using scanning electron microscopy to investigate the fracture mechanisms of the additively manufactured specimens under the two types of strain paths. Different fracture patterns were recognized for each strain paths; however, both showed retention of the crack propagation, despite the presence of numerous defects, probably because of the interaction of the defects. The crack propagation properties of the materials with numerous defects under nonproportional multiaxial loading were clarified to increase the reliability of the additively manufactured components.
The low cycle fatigue strength properties of the additively manufactured Ti-6Al-4V alloy are experimentally investigated under proportional and nonproportional multiaxial loading. The fatigue tests were conducted using hollow cylinder specimens with and without heat treatments, at room temperature in air. Two fatigue tests were conducted: one for proportional loading and one for nonproportional loading. The proportional loading was represented by a push-pull strain path (PP) and the nonproportional loading by a circle strain path (CI). The failure lives of the additively manufactured specimens were clearly reduced drastically by internal voids and defects. However, the sizes of the defects were measured, and the defects were found not to cause a reduction in fatigue strength above a critical size. The fracture surface was observed using scanning electron microscopy to investigate the fracture mechanisms of the additively manufactured specimens under the two types of strain paths. Different fracture patterns were recognized for each strain paths; however, both showed retention of the crack propagation, despite the presence of numerous defects, probably because of the interaction of the defects. The crack propagation properties of the materials with numerous defects under nonproportional multiaxial loading were clarified to increase the reliability of the additively manufactured components.
2021, 34: 104.
doi: 10.1186/s10033-021-00621-z
Abstract:
Deformation of the flexspline is the basis of analyzing tooth trajectory and designing tooth profile. Considering the tooth influence on the position of equivalent neutral layer, a piecewise method for calculating the deformation of flexspline assembled with a cam wave generator is presented in this paper. Firstly, a mechanic model of a ring of uniform thickness in contact with a rigid cam is established. The displacements of the ring inside and outside an unknown wrapping angle are determined by the geometric constraints of the cam profile and the equilibrium relationship, respectively. Meanwhile, the wrapping angle is solved according to the boundary conditions. The assembly forces are derived to investigate the circumferential elongation and strain. Then, considering the tooth effects on the neutral layer of flexspline, the tooth is positioned on the equivalent neutral layer, which is the non-elongation layer within one gear pitch but offset from the geometric mid-layer. The equivalent neutral layer is positioned by the empirical formula of the offset ratio, which is summarized by the orthogonal simulation on finite element models of racks. Finally, finite element models of a ring-shaped and a cup-shaped flexspline assembled with elliptical cam are established to verify the effectiveness and accuracy of the piecewise method. The results show that, compared with the geometric method, the tooth positioning deviation calculated by the piecewise method can be reduced by about 70% with a more accurate deformation description from the geometric condition and mechanic condition inside and outside the wrapping angle.
Deformation of the flexspline is the basis of analyzing tooth trajectory and designing tooth profile. Considering the tooth influence on the position of equivalent neutral layer, a piecewise method for calculating the deformation of flexspline assembled with a cam wave generator is presented in this paper. Firstly, a mechanic model of a ring of uniform thickness in contact with a rigid cam is established. The displacements of the ring inside and outside an unknown wrapping angle are determined by the geometric constraints of the cam profile and the equilibrium relationship, respectively. Meanwhile, the wrapping angle is solved according to the boundary conditions. The assembly forces are derived to investigate the circumferential elongation and strain. Then, considering the tooth effects on the neutral layer of flexspline, the tooth is positioned on the equivalent neutral layer, which is the non-elongation layer within one gear pitch but offset from the geometric mid-layer. The equivalent neutral layer is positioned by the empirical formula of the offset ratio, which is summarized by the orthogonal simulation on finite element models of racks. Finally, finite element models of a ring-shaped and a cup-shaped flexspline assembled with elliptical cam are established to verify the effectiveness and accuracy of the piecewise method. The results show that, compared with the geometric method, the tooth positioning deviation calculated by the piecewise method can be reduced by about 70% with a more accurate deformation description from the geometric condition and mechanic condition inside and outside the wrapping angle.
2021, 34: 105.
doi: 10.1186/s10033-021-00624-w
Abstract:
The maximum delivery pressure and the maximum rotational speed determine the power density of axial piston pumps. However, increasing the speed beyond the limit always accompanies cavitation, leading to the decrease of the volumetric efficiency. The pressure loss in the suction duct is considered a significant reason for the cavitation. Therefore, this paper proposes a methodology to optimize the shape of the suction duct aiming at reducing the intensity of cavitation and increasing the speed limit. At first, a computational fluid dynamics (CFD) model based on the full cavitation model (FCM) is developed to simulate the fluid field of the axial piston pump and a test rig is set to validate the model. Then the topology optimization is conducted for obtaining the minimum pressure loss in the suction duct. Comparing the original suction duct with the optimized one in the simulation model, the pressure loss in the suction duct gets considerable reduction, which eases the cavitation intensity a lot. The simulation results prove that the speed limit can increase under several different inlet pressures.
The maximum delivery pressure and the maximum rotational speed determine the power density of axial piston pumps. However, increasing the speed beyond the limit always accompanies cavitation, leading to the decrease of the volumetric efficiency. The pressure loss in the suction duct is considered a significant reason for the cavitation. Therefore, this paper proposes a methodology to optimize the shape of the suction duct aiming at reducing the intensity of cavitation and increasing the speed limit. At first, a computational fluid dynamics (CFD) model based on the full cavitation model (FCM) is developed to simulate the fluid field of the axial piston pump and a test rig is set to validate the model. Then the topology optimization is conducted for obtaining the minimum pressure loss in the suction duct. Comparing the original suction duct with the optimized one in the simulation model, the pressure loss in the suction duct gets considerable reduction, which eases the cavitation intensity a lot. The simulation results prove that the speed limit can increase under several different inlet pressures.
Influence of Novel Redirector with Bypass Damping on the Performance of Load-Sensing Steering System
2021, 34: 106.
doi: 10.1186/s10033-021-00627-7
Abstract:
Load-sensing steering systems for articulated loaders are prone to large pressure shocks and oscillations during steering operations, affecting the system stability. An optimized structure of the redirector with bypass damping is proposed to improve this phenomenon. In this structure, orifices and throttle grooves are added to the traditional redirector. To control the steering load and working conditions, the steering load of the loader is replaced by a pressure regulating valve. Simulation and experimental results reveal that the redirector with bypass damping has better load-sensing characteristics than the traditional redirector. The peak output pressure shock caused by the load unit step signal decreases from 6.50 to 5.64 MPa, which means the pressure oscillation of the hydraulic system is reduced by 13.4%. The pressure fluctuation time can be reduced from 2.09 to 1.6 s, with a decrease rate of 23.4%. The output pressure oscillation decays swiftly, and the smoothness of the steering operation is improved significantly.
Load-sensing steering systems for articulated loaders are prone to large pressure shocks and oscillations during steering operations, affecting the system stability. An optimized structure of the redirector with bypass damping is proposed to improve this phenomenon. In this structure, orifices and throttle grooves are added to the traditional redirector. To control the steering load and working conditions, the steering load of the loader is replaced by a pressure regulating valve. Simulation and experimental results reveal that the redirector with bypass damping has better load-sensing characteristics than the traditional redirector. The peak output pressure shock caused by the load unit step signal decreases from 6.50 to 5.64 MPa, which means the pressure oscillation of the hydraulic system is reduced by 13.4%. The pressure fluctuation time can be reduced from 2.09 to 1.6 s, with a decrease rate of 23.4%. The output pressure oscillation decays swiftly, and the smoothness of the steering operation is improved significantly.
2021, 34: 107.
doi: 10.1186/s10033-021-00619-7
Abstract:
This paper introduces a pneumatic finger cylinder servo control system for medical grabbing. First, according to the physical structure of the proportional directional valve and the pneumatic cylinder, the state equation of the gas in the servo system was obtained. The Stribeck friction compensation model of a pneumatic finger cylinder controlled by a proportional valve was established and the experimental platform built. To allow the system output to better track the change in the input signal, the flow-gain compensation method was adopted. On this basis, a friction compensation control strategy based on a differential evolution algorithm was proposed and applied to the position control system of a pneumatic finger cylinder. Finally, the strategy was compared with the traditional proportional derivative (PD) strategy and that with friction compensation. The experimental results showed that the position accuracy of the finger cylinder position control system can be improved by using the friction compensation strategy based on the differential evolution algorithm to optimize the PD parameters.
This paper introduces a pneumatic finger cylinder servo control system for medical grabbing. First, according to the physical structure of the proportional directional valve and the pneumatic cylinder, the state equation of the gas in the servo system was obtained. The Stribeck friction compensation model of a pneumatic finger cylinder controlled by a proportional valve was established and the experimental platform built. To allow the system output to better track the change in the input signal, the flow-gain compensation method was adopted. On this basis, a friction compensation control strategy based on a differential evolution algorithm was proposed and applied to the position control system of a pneumatic finger cylinder. Finally, the strategy was compared with the traditional proportional derivative (PD) strategy and that with friction compensation. The experimental results showed that the position accuracy of the finger cylinder position control system can be improved by using the friction compensation strategy based on the differential evolution algorithm to optimize the PD parameters.
2021, 34: 108.
doi: 10.1186/s10033-021-00628-6
Abstract:
The cast aluminum beam is a key structure for carrying the body-hung traction motor of a high-speed train; its fatigue property is fundamental for predicting the residual life and service mileage of the structure. To characterize the structural fatigue property, a finite element-based method is developed to compute the stress concentration factor, which is used to obtain the structural fatigue strength reduction factors. A full-scale fatigue test on the cast aluminum beam is designed and implemented for up to ten million cycles, and the corresponding finite element model of the beam is validated using the measured data of the gauges. The results show that the maximum stress concentration occurs at the fillet of the supporting seat, where the structural fatigue strength reduction factor is 2.45 and the calculated fatigue limit is 35.4 MPa. Moreover, no surface cracks are detected using the liquid penetrant test. Both the experimental and simulation results indicate that the cast aluminum beam can satisfy the service life requirements under the designed loading conditions.
The cast aluminum beam is a key structure for carrying the body-hung traction motor of a high-speed train; its fatigue property is fundamental for predicting the residual life and service mileage of the structure. To characterize the structural fatigue property, a finite element-based method is developed to compute the stress concentration factor, which is used to obtain the structural fatigue strength reduction factors. A full-scale fatigue test on the cast aluminum beam is designed and implemented for up to ten million cycles, and the corresponding finite element model of the beam is validated using the measured data of the gauges. The results show that the maximum stress concentration occurs at the fillet of the supporting seat, where the structural fatigue strength reduction factor is 2.45 and the calculated fatigue limit is 35.4 MPa. Moreover, no surface cracks are detected using the liquid penetrant test. Both the experimental and simulation results indicate that the cast aluminum beam can satisfy the service life requirements under the designed loading conditions.
2021, 34: 109.
doi: 10.1186/s10033-021-00622-y
Abstract:
Although there are methods for testing the stress-strain relation and strength, which are the most fundamental and important properties of metallic materials, their application to small-volume materials and tube components is limited. In this study, based on energy density equivalence, a new dimensionless elastoplastic load-displacement model for compressed metal rings with isotropy and constitutive power law is proposed to describe the relations among the geometric dimensions, Hollomon law parameters, load, and displacement. Furthermore, a novel test method was developed to determine the elastic modulus, stress-strain relation, yield and tensile strength via ring compression test. The universality and accuracy of the method were verified within a wide range of imaginary materials using finite element analysis (FEA), and the results show that the stress-strain curves obtained by this method are consistent with those inputted in the FEA program. Additionally, a series of ring compression tests were performed for seven metallic materials. It was found that the stress-strain curves and mechanical properties predicted by the method agreed with the uniaxial tensile results. With its low material consumption, the ring compression test has the potential to be as an alternative to traditional tensile test when direct tension method is limited.
Although there are methods for testing the stress-strain relation and strength, which are the most fundamental and important properties of metallic materials, their application to small-volume materials and tube components is limited. In this study, based on energy density equivalence, a new dimensionless elastoplastic load-displacement model for compressed metal rings with isotropy and constitutive power law is proposed to describe the relations among the geometric dimensions, Hollomon law parameters, load, and displacement. Furthermore, a novel test method was developed to determine the elastic modulus, stress-strain relation, yield and tensile strength via ring compression test. The universality and accuracy of the method were verified within a wide range of imaginary materials using finite element analysis (FEA), and the results show that the stress-strain curves obtained by this method are consistent with those inputted in the FEA program. Additionally, a series of ring compression tests were performed for seven metallic materials. It was found that the stress-strain curves and mechanical properties predicted by the method agreed with the uniaxial tensile results. With its low material consumption, the ring compression test has the potential to be as an alternative to traditional tensile test when direct tension method is limited.
2021, 34: 110.
doi: 10.1186/s10033-021-00625-9
Abstract:
The existing engineering empirical life analysis models are not capable of considering the constitutive behavior of materials under contact loads; as a consequence, these methods may not be accurate to predict fatigue lives of rolling bearings. In addition, the contact stress of bearing in operation is cyclically pulsating, it also means that the bearing undergo non-symmetrical fatigue loadings. Since the mean stress has great effects on fatigue life, in this work, a novel fatigue life prediction model based on the modified SWT mean stress correction is proposed as a basis of which to estimate the fatigue life of rolling bearings, in which, takes sensitivity of materials and mean stress into account. A compensation factor is introduced to overcome the inaccurate predictions resulted from the Smith, Watson, and Topper (SWT) model that considers the mean stress effect and sensitivity while assuming the sensitivity coefficient of all materials to be 0.5. Moreover, the validation of the model is finalized by several practical experimental data and the comparison to the conventional SWT model. The results show the better performance of the proposed model, especially in the accuracy than the existing SWT model. This research will shed light on a new direction for predicting the fatigue life of rolling bearings.
The existing engineering empirical life analysis models are not capable of considering the constitutive behavior of materials under contact loads; as a consequence, these methods may not be accurate to predict fatigue lives of rolling bearings. In addition, the contact stress of bearing in operation is cyclically pulsating, it also means that the bearing undergo non-symmetrical fatigue loadings. Since the mean stress has great effects on fatigue life, in this work, a novel fatigue life prediction model based on the modified SWT mean stress correction is proposed as a basis of which to estimate the fatigue life of rolling bearings, in which, takes sensitivity of materials and mean stress into account. A compensation factor is introduced to overcome the inaccurate predictions resulted from the Smith, Watson, and Topper (SWT) model that considers the mean stress effect and sensitivity while assuming the sensitivity coefficient of all materials to be 0.5. Moreover, the validation of the model is finalized by several practical experimental data and the comparison to the conventional SWT model. The results show the better performance of the proposed model, especially in the accuracy than the existing SWT model. This research will shed light on a new direction for predicting the fatigue life of rolling bearings.
2021, 34: 111.
doi: 10.1186/s10033-021-00633-9
Abstract:
New materials and manufacturing technologies require applicable non-destructive techniques for quality assurance so as to achieve better performance. This study comprehensively investigated the effect of influencing factors including excitation frequency, lift-off distance, defect depth and size, residual heat, and surface roughness on the defect EC signals of an Inconel 738LC alloy produced by selective laser melting (SLM). The experimental investigations recorded the impedance amplitude and phase angle of EC signals for each defect to explore the feasibility of detecting subsurface defects by merely analyzing these two key indicators. Overall, this study revealed preliminary qualitative and roughly quantitative relationships between influencing factors and corresponding EC signals, which provided a practical reference on how to quantitively inspect subsurface defects using eddy current testing (ECT) on SLMed parts, and also made solid progress toward on-line ECT in additive/subtractive hybrid manufacturing (ASHM) for fabricating SLMed parts with enhanced quality and better performance.
New materials and manufacturing technologies require applicable non-destructive techniques for quality assurance so as to achieve better performance. This study comprehensively investigated the effect of influencing factors including excitation frequency, lift-off distance, defect depth and size, residual heat, and surface roughness on the defect EC signals of an Inconel 738LC alloy produced by selective laser melting (SLM). The experimental investigations recorded the impedance amplitude and phase angle of EC signals for each defect to explore the feasibility of detecting subsurface defects by merely analyzing these two key indicators. Overall, this study revealed preliminary qualitative and roughly quantitative relationships between influencing factors and corresponding EC signals, which provided a practical reference on how to quantitively inspect subsurface defects using eddy current testing (ECT) on SLMed parts, and also made solid progress toward on-line ECT in additive/subtractive hybrid manufacturing (ASHM) for fabricating SLMed parts with enhanced quality and better performance.
2021, 34: 113.
doi: 10.1186/s10033-021-00634-8
Abstract:
The current research of the Q-P and Q-P-T process has been focused on controlling the heating temperature and holding time, or adding alloy elements into the steel to induce precipitation strengthening and improve the strength and plasticity of the steel. In this article, based on a quenching-partitioning-tempering (Q-P-T) process combined with a hot deformation technology, a deforming-quenching-partitioning-tempering (D-Q-P-T) process was applied to medium carbon steel. The effect of the heat treatment parameters on the microstructure and mechanical properties of experimental steel under deformation was studied. Through use of a scanning electron microscope (SEM), transmission electron microscopy (TEM) and tensile tests, the optimal heat treatment conditions for realizing high strength and plasticity that meet the safety requirements were obtained. The mechanism for the D-Q-P-T process to improve the strength and plasticity of experimental steel was discussed. A multiphase composite structure of lath martensite and retained austenite was obtained. Compared with the Q-P-T process, use of the D-Q-P-T process can increase the strength of steel by 57.77 MPa and the elongation by 5%. This study proposes a method to improve the strength and plasticity of steel.
The current research of the Q-P and Q-P-T process has been focused on controlling the heating temperature and holding time, or adding alloy elements into the steel to induce precipitation strengthening and improve the strength and plasticity of the steel. In this article, based on a quenching-partitioning-tempering (Q-P-T) process combined with a hot deformation technology, a deforming-quenching-partitioning-tempering (D-Q-P-T) process was applied to medium carbon steel. The effect of the heat treatment parameters on the microstructure and mechanical properties of experimental steel under deformation was studied. Through use of a scanning electron microscope (SEM), transmission electron microscopy (TEM) and tensile tests, the optimal heat treatment conditions for realizing high strength and plasticity that meet the safety requirements were obtained. The mechanism for the D-Q-P-T process to improve the strength and plasticity of experimental steel was discussed. A multiphase composite structure of lath martensite and retained austenite was obtained. Compared with the Q-P-T process, use of the D-Q-P-T process can increase the strength of steel by 57.77 MPa and the elongation by 5%. This study proposes a method to improve the strength and plasticity of steel.
2021, 34: 114.
doi: 10.1186/s10033-021-00637-5
Abstract:
A high-precision evaluation of ultrasonic detection sensitivity for a micro-crack can be restricted by a corroded rough surface when the surface microtopography is of the same order of magnitude as the crack depth. In this study, a back-surface micro-crack is considered as a research target. A roughness-modified ultrasonic testing model for micro-cracks is established based on a multi-Gaussian beam model and the principle of phase-screen approximation. The echo signals of micro-cracks and noises corresponding to different rough front surfaces and rough back surfaces are obtained based on a reference reflector signal acquired from a two-dimensional simulation model. Further comparison between the analytical and numerical models shows that the responses of micro-cracks under the effects of different corroded rough surfaces can be accurately predicted. The numerical and analytical results show that the echo signal amplitude of the micro-crack decreases significantly with an increase in roughness, whereas the noise amplitude slightly increases. Moreover, the effect of the rough front surface on the echo signal of the micro-crack is greater than that of the rough back surface. When the root-mean-square (RMS) height of the surface microtopography is less than 15 μm, the two rough surfaces have less influence on the echo signals detected by a focused transducer with a frequency of 5 MHz and diameter of 6 mm. A method for predicting and evaluating the detection accuracy of micro-cracks under different rough surfaces is proposed by combining the theoretical model and a finite element simulation. Then, a series of rough surface samples containing different micro-cracks are fabricated to experimentally validate the evaluation method.
A high-precision evaluation of ultrasonic detection sensitivity for a micro-crack can be restricted by a corroded rough surface when the surface microtopography is of the same order of magnitude as the crack depth. In this study, a back-surface micro-crack is considered as a research target. A roughness-modified ultrasonic testing model for micro-cracks is established based on a multi-Gaussian beam model and the principle of phase-screen approximation. The echo signals of micro-cracks and noises corresponding to different rough front surfaces and rough back surfaces are obtained based on a reference reflector signal acquired from a two-dimensional simulation model. Further comparison between the analytical and numerical models shows that the responses of micro-cracks under the effects of different corroded rough surfaces can be accurately predicted. The numerical and analytical results show that the echo signal amplitude of the micro-crack decreases significantly with an increase in roughness, whereas the noise amplitude slightly increases. Moreover, the effect of the rough front surface on the echo signal of the micro-crack is greater than that of the rough back surface. When the root-mean-square (RMS) height of the surface microtopography is less than 15 μm, the two rough surfaces have less influence on the echo signals detected by a focused transducer with a frequency of 5 MHz and diameter of 6 mm. A method for predicting and evaluating the detection accuracy of micro-cracks under different rough surfaces is proposed by combining the theoretical model and a finite element simulation. Then, a series of rough surface samples containing different micro-cracks are fabricated to experimentally validate the evaluation method.
2021, 34: 115.
doi: 10.1186/s10033-021-00640-w
Abstract:
The thermo-mechanical reliability of IMCs (Ni3Sn4, Cu3Sn, Cu6Sn5) solder joints and Sn-3.9Ag-0.6Cu solder joints was investigated systematically in 3D chip stacking structure subjected to an accelerated thermal cyclic loading based on finite element simulation and Taguchi method. Effects of different control factors, including high temperature, low temperature, dwell time of thermal cyclic loading, and different IMCs on the stress-strain response and fatigue life of solder joints were calculated respectively. The results indicate that maximum stress-strain can be found in the second solder joint on the diagonal of IMC solder joints array; for Sn-3.9Ag-0.6Cu solder joints array, the corner solder joints show the obvious maximum stress-strain, these areas are the crack propagated locations. The stress-strain and fatigue life of solder joints is more sensitive to dwell temperature, especially to high temperature; increasing the high temperature, dwell time, or decreasing the low temperature, can reduce the stress-strain and enlarge the fatigue life of solder joints. Finally, the optimal design in the 3D-IC structure has the combination of the Cu6Sn5/Cu3Sn, 373 K high temperature, 233 K low temperature, and 10 min dwell time. The fatigue lives of Sn-3.9Ag-0.6Cu under 218–398 K loading in the 3D assembly based on the creep strain are 347.4 cycles, which is in good agreement with experimental results (380 cycles).
The thermo-mechanical reliability of IMCs (Ni3Sn4, Cu3Sn, Cu6Sn5) solder joints and Sn-3.9Ag-0.6Cu solder joints was investigated systematically in 3D chip stacking structure subjected to an accelerated thermal cyclic loading based on finite element simulation and Taguchi method. Effects of different control factors, including high temperature, low temperature, dwell time of thermal cyclic loading, and different IMCs on the stress-strain response and fatigue life of solder joints were calculated respectively. The results indicate that maximum stress-strain can be found in the second solder joint on the diagonal of IMC solder joints array; for Sn-3.9Ag-0.6Cu solder joints array, the corner solder joints show the obvious maximum stress-strain, these areas are the crack propagated locations. The stress-strain and fatigue life of solder joints is more sensitive to dwell temperature, especially to high temperature; increasing the high temperature, dwell time, or decreasing the low temperature, can reduce the stress-strain and enlarge the fatigue life of solder joints. Finally, the optimal design in the 3D-IC structure has the combination of the Cu6Sn5/Cu3Sn, 373 K high temperature, 233 K low temperature, and 10 min dwell time. The fatigue lives of Sn-3.9Ag-0.6Cu under 218–398 K loading in the 3D assembly based on the creep strain are 347.4 cycles, which is in good agreement with experimental results (380 cycles).
2021, 34: 117.
doi: 10.1186/s10033-021-00630-y
Abstract:
Radar and LiDAR are two environmental sensors commonly used in autonomous vehicles, Lidars are accurate in determining objects’ positions but significantly less accurate as Radars on measuring their velocities. However, Radars relative to Lidars are more accurate on measuring objects velocities but less accurate on determining their positions as they have a lower spatial resolution. In order to compensate for the low detection accuracy, incomplete target attributes and poor environmental adaptability of single sensors such as Radar and LiDAR, in this paper, an effective method for high-precision detection and tracking of surrounding targets of autonomous vehicles. By employing the Unscented Kalman Filter, Radar and LiDAR information is effectively fused to achieve high-precision detection of the position and speed information of targets around the autonomous vehicle. Finally, the real vehicle test under various driving environment scenarios is carried out. The experimental results show that the proposed sensor fusion method can effectively detect and track the vehicle peripheral targets with high accuracy. Compared with a single sensor, it has obvious advantages and can improve the intelligence level of autonomous cars.
Radar and LiDAR are two environmental sensors commonly used in autonomous vehicles, Lidars are accurate in determining objects’ positions but significantly less accurate as Radars on measuring their velocities. However, Radars relative to Lidars are more accurate on measuring objects velocities but less accurate on determining their positions as they have a lower spatial resolution. In order to compensate for the low detection accuracy, incomplete target attributes and poor environmental adaptability of single sensors such as Radar and LiDAR, in this paper, an effective method for high-precision detection and tracking of surrounding targets of autonomous vehicles. By employing the Unscented Kalman Filter, Radar and LiDAR information is effectively fused to achieve high-precision detection of the position and speed information of targets around the autonomous vehicle. Finally, the real vehicle test under various driving environment scenarios is carried out. The experimental results show that the proposed sensor fusion method can effectively detect and track the vehicle peripheral targets with high accuracy. Compared with a single sensor, it has obvious advantages and can improve the intelligence level of autonomous cars.
2021, 34: 119.
doi: 10.1186/s10033-021-00648-2
Abstract:
In the process of Wavelet Analysis, only the low-frequency signals are re-decomposed, and the high-frequency signals are no longer decomposed, resulting in a decrease in frequency resolution with increasing frequency. Therefore, in this paper, firstly, Wavelet Packet Decomposition is used for feature extraction of vibration signals, which makes up for the shortcomings of Wavelet Analysis in extracting fault features of nonlinear vibration signals, and different energy values in different frequency bands are obtained by Wavelet Packet Decomposition. The features are visualized by the K-Means clustering method, and the results show that the extracted energy features can accurately distinguish the different states of the bearing. Then a fault diagnosis model based on BP Neural Network optimized by Beetle Algorithm is proposed to identify the bearing faults. Compared with the Particle Swarm Algorithm, Beetle Algorithm can quickly find the error extreme value, which greatly reduces the training time of the model. At last, two experiments are conducted, which show that the accuracy of the model can reach more than 95%, and the model has a certain anti-interference ability.
In the process of Wavelet Analysis, only the low-frequency signals are re-decomposed, and the high-frequency signals are no longer decomposed, resulting in a decrease in frequency resolution with increasing frequency. Therefore, in this paper, firstly, Wavelet Packet Decomposition is used for feature extraction of vibration signals, which makes up for the shortcomings of Wavelet Analysis in extracting fault features of nonlinear vibration signals, and different energy values in different frequency bands are obtained by Wavelet Packet Decomposition. The features are visualized by the K-Means clustering method, and the results show that the extracted energy features can accurately distinguish the different states of the bearing. Then a fault diagnosis model based on BP Neural Network optimized by Beetle Algorithm is proposed to identify the bearing faults. Compared with the Particle Swarm Algorithm, Beetle Algorithm can quickly find the error extreme value, which greatly reduces the training time of the model. At last, two experiments are conducted, which show that the accuracy of the model can reach more than 95%, and the model has a certain anti-interference ability.
2021, 34: 120.
doi: 10.1186/s10033-021-00649-1
Abstract:
The momentum flow exchange between the impeller and side channel produces highly turbulent flows in side channel pumps. The turbulent flows feature complex patterns of vortex structures that are partly responsible for the dissipation of energy losses and unsteady pressure pulsations. The concept of turbulent flows in side channel pumps requires a reliable vortex identification criterion to capture and predict the effects of the vortex structures on the performance. For this reason, the current study presents the application of the new Ω-criterion to a side channel pump model in comparison with other traditional methods such as Q and λ2 criteria. The 3D flow fields of the pump were obtained through unsteady Reynolds-averaged Navier-Stokes (RANS) simulations. Comparative studies showed that the Ω-criterion identifies the vortex of different intensities with a standard threshold, Ω=0.52. The Q and λ2 criteria required different thresholds to capture vortex of different intensities thus leads to subjective errors. Comparing the Ω-criterion intensity on different planes with the entropy losses and pressure pulsation, the longitudinal vortex plays an important role in the momentum exchange development which increases the head performance of the pump. However, the rate of exchange is impeded by the axial and radial vortices restricted in the impeller. Therefore, the impeller generates the highest entropy loss and pressure pulsation intensities which lower the output efficiency. Finally, the findings provide a fundamental background to the morphology of the vortex structures in the turbulent flows which can be dependent upon for efficiency improvement of side channel pumps.
The momentum flow exchange between the impeller and side channel produces highly turbulent flows in side channel pumps. The turbulent flows feature complex patterns of vortex structures that are partly responsible for the dissipation of energy losses and unsteady pressure pulsations. The concept of turbulent flows in side channel pumps requires a reliable vortex identification criterion to capture and predict the effects of the vortex structures on the performance. For this reason, the current study presents the application of the new Ω-criterion to a side channel pump model in comparison with other traditional methods such as Q and λ2 criteria. The 3D flow fields of the pump were obtained through unsteady Reynolds-averaged Navier-Stokes (RANS) simulations. Comparative studies showed that the Ω-criterion identifies the vortex of different intensities with a standard threshold, Ω=0.52. The Q and λ2 criteria required different thresholds to capture vortex of different intensities thus leads to subjective errors. Comparing the Ω-criterion intensity on different planes with the entropy losses and pressure pulsation, the longitudinal vortex plays an important role in the momentum exchange development which increases the head performance of the pump. However, the rate of exchange is impeded by the axial and radial vortices restricted in the impeller. Therefore, the impeller generates the highest entropy loss and pressure pulsation intensities which lower the output efficiency. Finally, the findings provide a fundamental background to the morphology of the vortex structures in the turbulent flows which can be dependent upon for efficiency improvement of side channel pumps.
2021, 34: 121.
doi: 10.1186/s10033-021-00651-7
Abstract:
The singularity problem brings troubles to the design and application for the parallel mechanism. Currently, redundant actuation is one of the useful methods to solve this singularity problem. However, faced to the numerous joints in a parallel mechanism, how to make a quantitative criterion of seeking the most efficient joints added actuators for letting the mechanism passes through singularity is a necessarily open issue. This paper focuses on a 2R1T 3-UPU (U for universal joint and P for prismatic joint) parallel mechanism (PM) with two rotational and one translational (2R1T) degrees of freedom (DOFs) and the ability of multiple remote centers of motion (M-RCM). The singularity analysis based on the indexes of motion/force transmissibility and constraint shows that this PM has transmission singularity, constraint singularity, mixed singularity and limb singularity. To solve these singular problems, the quantifiable redundancy transmission index (RTI) and the redundancy constraint index (RCI) are proposed for optimum seeking of redundant actuators for this PM. Then the appropriate redundant actuators are selected and the working scheme for redundant actuators near the corresponding singular configuration are given to help the PM passes through the singularity. This research proposes a quantitative criterion to optimum seeking of redundant actuators for the parallel mechanism to solve its singularity.
The singularity problem brings troubles to the design and application for the parallel mechanism. Currently, redundant actuation is one of the useful methods to solve this singularity problem. However, faced to the numerous joints in a parallel mechanism, how to make a quantitative criterion of seeking the most efficient joints added actuators for letting the mechanism passes through singularity is a necessarily open issue. This paper focuses on a 2R1T 3-UPU (U for universal joint and P for prismatic joint) parallel mechanism (PM) with two rotational and one translational (2R1T) degrees of freedom (DOFs) and the ability of multiple remote centers of motion (M-RCM). The singularity analysis based on the indexes of motion/force transmissibility and constraint shows that this PM has transmission singularity, constraint singularity, mixed singularity and limb singularity. To solve these singular problems, the quantifiable redundancy transmission index (RTI) and the redundancy constraint index (RCI) are proposed for optimum seeking of redundant actuators for this PM. Then the appropriate redundant actuators are selected and the working scheme for redundant actuators near the corresponding singular configuration are given to help the PM passes through the singularity. This research proposes a quantitative criterion to optimum seeking of redundant actuators for the parallel mechanism to solve its singularity.
2021, 34: 122.
doi: 10.1186/s10033-021-00647-3
Abstract:
The tribological properties of cylinder block/valve plate is an important consideration in the design of axial piston pump. The effect of materials and heat treatment on friction and wear properties has been studied in depth. Engineering experiences show that the speed and load also affect the tribological properties, but these have not been systematically analyzed. The purpose of this paper is to evaluate the tribological properties of the commonly used materials (CuPb15Sn5 and 38CrMoAl/42CrMo) for cylinder block/valve plate with different heat treatment and contact pressure at different speed. During the test, tribometer is used to simulate the contact pattern between the valve plate/cylinder block in axial piston pump, the friction coefficient, wear rate and surface topography are analyzed to evaluate the tribological properties of different types of friction samples at different speed. Results indicate that: (1) contact surface of the samples at 1800 r/min is more prone to adhesive wear than those at 500 r/min; (2) in the terms of wear resistance, quench-tempered and nitrided 38CrMoAl (38CrMoAl QTN for short) is better than quench-tempered and nitrided 42CrMo, although they are all commonly used materials in the axial piston pump; (3) 2.5 MPa is the critical contact pressure of the interface between valve plate made of 38CrMoAl QTN and cylinder block made of CuPb15Sn5 on the tribometer, which implies the pressure bearing area at the bottom of the cylinder block should be carefully designed; (4) the valve plate/cylinder block made of 38CrMoAl QTN/CuPb15Sn5 exhibits good tribological properties in a real axial piston pump. This research is useful for the failure analysis and structural optimization design of the valve plates/cylinder block.
The tribological properties of cylinder block/valve plate is an important consideration in the design of axial piston pump. The effect of materials and heat treatment on friction and wear properties has been studied in depth. Engineering experiences show that the speed and load also affect the tribological properties, but these have not been systematically analyzed. The purpose of this paper is to evaluate the tribological properties of the commonly used materials (CuPb15Sn5 and 38CrMoAl/42CrMo) for cylinder block/valve plate with different heat treatment and contact pressure at different speed. During the test, tribometer is used to simulate the contact pattern between the valve plate/cylinder block in axial piston pump, the friction coefficient, wear rate and surface topography are analyzed to evaluate the tribological properties of different types of friction samples at different speed. Results indicate that: (1) contact surface of the samples at 1800 r/min is more prone to adhesive wear than those at 500 r/min; (2) in the terms of wear resistance, quench-tempered and nitrided 38CrMoAl (38CrMoAl QTN for short) is better than quench-tempered and nitrided 42CrMo, although they are all commonly used materials in the axial piston pump; (3) 2.5 MPa is the critical contact pressure of the interface between valve plate made of 38CrMoAl QTN and cylinder block made of CuPb15Sn5 on the tribometer, which implies the pressure bearing area at the bottom of the cylinder block should be carefully designed; (4) the valve plate/cylinder block made of 38CrMoAl QTN/CuPb15Sn5 exhibits good tribological properties in a real axial piston pump. This research is useful for the failure analysis and structural optimization design of the valve plates/cylinder block.
2021, 34: 123.
doi: 10.1186/s10033-021-00635-7
Abstract:
Oral inhalation of aerosolized drugs has be widely applied in healing the affected body organs including lesions of the throat and lungs and it is more efficient than those conventional therapies, such as intravenous drip, intramuscular injection and external topical administration in the aspects of the dosage reduction and side effects of drugs. Nevertheless, the traditional atomization devices always exhibit many drawbacks. For example, non-uniformed atomization particle distribution, the instability of transient atomization quantity and difficulties in precise energy control would seriously restrict an extensive use of atomization inhalation therapy. In this study, the principle of intra-hole fluctuation phenomenon occurred in the hole is fully explained, and the produced volume change is also estimated. Additionally, the mathematical expression of the atomization rate of the atomizing device is well established. The mechanism of the micro-pump is further clarified, and the influence of the vibration characteristics of the atomizing film on the atomization behavior is analyzed theoretically. The curves of sweep frequency against the velocity and amplitude of the piezoelectric vibrator are obtained by the Doppler laser vibrometer, and the corresponding mode shapes of the resonance point are achieved. The influence of vibration characteristics on atomization rate, atomization height and atomization particle size are also verified by experiments, respectively. Both the experimental results and theoretical calculation are expected to provide a guidance for the design of this kind of atomization device in the future.
Oral inhalation of aerosolized drugs has be widely applied in healing the affected body organs including lesions of the throat and lungs and it is more efficient than those conventional therapies, such as intravenous drip, intramuscular injection and external topical administration in the aspects of the dosage reduction and side effects of drugs. Nevertheless, the traditional atomization devices always exhibit many drawbacks. For example, non-uniformed atomization particle distribution, the instability of transient atomization quantity and difficulties in precise energy control would seriously restrict an extensive use of atomization inhalation therapy. In this study, the principle of intra-hole fluctuation phenomenon occurred in the hole is fully explained, and the produced volume change is also estimated. Additionally, the mathematical expression of the atomization rate of the atomizing device is well established. The mechanism of the micro-pump is further clarified, and the influence of the vibration characteristics of the atomizing film on the atomization behavior is analyzed theoretically. The curves of sweep frequency against the velocity and amplitude of the piezoelectric vibrator are obtained by the Doppler laser vibrometer, and the corresponding mode shapes of the resonance point are achieved. The influence of vibration characteristics on atomization rate, atomization height and atomization particle size are also verified by experiments, respectively. Both the experimental results and theoretical calculation are expected to provide a guidance for the design of this kind of atomization device in the future.
2021, 34: 124.
doi: 10.1186/s10033-021-00641-9
Abstract:
Sea wave energy generators or converters (WECs) have the potential to become a viable technology for clean, renewable energy production. Among the WEC technologies, the oscillating water columns (OWCs) are the most common WEC devices studied. These have been studied and developed over many years. Multi-chamber oscillating water columns (MC-OWC) have the potential to have a higher energy conversion when extracting energy in mixed sea states than single-chamber devices. In the work reported in this paper, physical experiments are carried under regular wave conditions to test the wave power extraction of a fixed MC-OWC small-scale model. The Power Take-Off (PTO) of the device is simulated using orifice plates. The flow characteristics through these orifices are pre-calibrated such that the extracted power can be obtained only using the pressure measurement. Wave condition effects on the damping of the PTO of the device power extraction are addressed. The test results illustrate that the PTO system damping is critical and affects device performance.
Sea wave energy generators or converters (WECs) have the potential to become a viable technology for clean, renewable energy production. Among the WEC technologies, the oscillating water columns (OWCs) are the most common WEC devices studied. These have been studied and developed over many years. Multi-chamber oscillating water columns (MC-OWC) have the potential to have a higher energy conversion when extracting energy in mixed sea states than single-chamber devices. In the work reported in this paper, physical experiments are carried under regular wave conditions to test the wave power extraction of a fixed MC-OWC small-scale model. The Power Take-Off (PTO) of the device is simulated using orifice plates. The flow characteristics through these orifices are pre-calibrated such that the extracted power can be obtained only using the pressure measurement. Wave condition effects on the damping of the PTO of the device power extraction are addressed. The test results illustrate that the PTO system damping is critical and affects device performance.
2021, 34: 125.
doi: 10.1186/s10033-021-00642-8
Abstract:
In this paper, a new fuzzy approach is applied to optimal design of the anti-skid control for electric vehicles. The anti-skid control is used to maintain the wheel speed when there are uncertainties. The control is able to provide an appropriate torque for wheels when the vehicle is about to skid. The friction coefficient and the moments of inertia of wheels and motor are considered as uncertain parameters. These nonlinear, bounded and time-varying uncertainties are described by fuzzy set theory. The control is deterministic and is not based on IF-THEN fuzzy rules. Then, the optimal design for this fuzzy system and control cost is proposed by fuzzy information. In this way, the uniform boundedness and uniform ultimate boundedness are guaranteed and the average fuzzy performance is minimized. Numerical simulations show that the control can prevent vehicle skidding with the minimum control cost under uncertainties.
In this paper, a new fuzzy approach is applied to optimal design of the anti-skid control for electric vehicles. The anti-skid control is used to maintain the wheel speed when there are uncertainties. The control is able to provide an appropriate torque for wheels when the vehicle is about to skid. The friction coefficient and the moments of inertia of wheels and motor are considered as uncertain parameters. These nonlinear, bounded and time-varying uncertainties are described by fuzzy set theory. The control is deterministic and is not based on IF-THEN fuzzy rules. Then, the optimal design for this fuzzy system and control cost is proposed by fuzzy information. In this way, the uniform boundedness and uniform ultimate boundedness are guaranteed and the average fuzzy performance is minimized. Numerical simulations show that the control can prevent vehicle skidding with the minimum control cost under uncertainties.
2021, 34: 126.
doi: 10.1186/s10033-021-00643-7
Abstract:
Sandwich structures possess a high bending stiffness compared to monolithic structures with a similar weight. This makes them very suitable for lightweight applications, where high stiffness to weight ratios are needed. Most common manufacturing methods of sandwich structures involve adhesive bonding of the core material with the sheets. However, adhesive bonding is prone to delamination, a failure mode that is often difficult to detect. This paper presents the results of delamination testing of fully additive manufactured (AM) AlSi10Mg sandwich structures with pyramidal lattice truss core using Laser Powder Bed Fusion (LPBF). The faces and struts are 0.5 mm thick, while the core is 2 mm thick. The inclination of the struts is 45°. To characterise the bonding strength, climbing drum peel tests and out-of-plane tensile tests are performed. Analytical formulas are derived to predict the expected failure loads and modes. The analytics and tests are supported by finite element (FE) calculations. From the analytic approach, design guidelines to avoid delamination in AM sandwich structures are derived. The study presents a critical face sheet thickness to strut diameter ratio for which the structure can delaminate. This ratio is mainly influenced by the inclination of the struts. The peel tests resulted in face yielding, which can also be inferred from the analytics and numerics. The out-of-plane tensile tests didn’t damage the structure.
Sandwich structures possess a high bending stiffness compared to monolithic structures with a similar weight. This makes them very suitable for lightweight applications, where high stiffness to weight ratios are needed. Most common manufacturing methods of sandwich structures involve adhesive bonding of the core material with the sheets. However, adhesive bonding is prone to delamination, a failure mode that is often difficult to detect. This paper presents the results of delamination testing of fully additive manufactured (AM) AlSi10Mg sandwich structures with pyramidal lattice truss core using Laser Powder Bed Fusion (LPBF). The faces and struts are 0.5 mm thick, while the core is 2 mm thick. The inclination of the struts is 45°. To characterise the bonding strength, climbing drum peel tests and out-of-plane tensile tests are performed. Analytical formulas are derived to predict the expected failure loads and modes. The analytics and tests are supported by finite element (FE) calculations. From the analytic approach, design guidelines to avoid delamination in AM sandwich structures are derived. The study presents a critical face sheet thickness to strut diameter ratio for which the structure can delaminate. This ratio is mainly influenced by the inclination of the struts. The peel tests resulted in face yielding, which can also be inferred from the analytics and numerics. The out-of-plane tensile tests didn’t damage the structure.
2021, 34: 134.
doi: 10.1186/s10033-021-00645-5
Abstract:
Joining metal to plastic can lighten weight of products to reduce energy consumption. However, it is difficult to achieve high-strength welding between metal and plastic. To address this problem, the methods of surface texture pretreatment and laser irradiation welding was proposed to achieve the high-strength connection of metal and plastic. In this study, with different parameters of laser power and texture morphology, 1060 Al with surface texture treatment was joined to polyethylene terephthalate (PET) by laser irradiation welding from metal side. Study showed that as the laser power increased, the tensile shear strength of joints increased first, and decreased thereafter. Tensile shear tests demonstrated that the mechanical force of joint was strengthened contributed to mechanical anchorage formed by surface texture. The depth-width ratio of the texture grooves affected the tensile shear process of the joint. According to the result of temperature simulation, the existence of texture grooves reduced the heat transfer efficiency, and the heat dissipation at interface was also impeded in course of laser welding. Finally, the maximum tensile strength of 1060Al-PET joint reached 48.4 MPa, which was close to the strength of PET matrix. The bonding mechanism of the 1060Al-PET joints was composed of mechanical bonding and chemical bonding. This study proposes an effective method to join metal to plastic which achieved high-strength connection between metal and plastic.
Joining metal to plastic can lighten weight of products to reduce energy consumption. However, it is difficult to achieve high-strength welding between metal and plastic. To address this problem, the methods of surface texture pretreatment and laser irradiation welding was proposed to achieve the high-strength connection of metal and plastic. In this study, with different parameters of laser power and texture morphology, 1060 Al with surface texture treatment was joined to polyethylene terephthalate (PET) by laser irradiation welding from metal side. Study showed that as the laser power increased, the tensile shear strength of joints increased first, and decreased thereafter. Tensile shear tests demonstrated that the mechanical force of joint was strengthened contributed to mechanical anchorage formed by surface texture. The depth-width ratio of the texture grooves affected the tensile shear process of the joint. According to the result of temperature simulation, the existence of texture grooves reduced the heat transfer efficiency, and the heat dissipation at interface was also impeded in course of laser welding. Finally, the maximum tensile strength of 1060Al-PET joint reached 48.4 MPa, which was close to the strength of PET matrix. The bonding mechanism of the 1060Al-PET joints was composed of mechanical bonding and chemical bonding. This study proposes an effective method to join metal to plastic which achieved high-strength connection between metal and plastic.
2021, 34: 135.
doi: 10.1186/s10033-021-00650-8
Abstract:
To improve the ride comfort and safety of a traditional adaptive cruise control (ACC) system when the preceding vehicle changes lanes, it proposes a target vehicle selection algorithm based on the prediction of the lane-changing intention for the preceding vehicle. First, the Next Generation Simulation dataset is used to train a lane-changing intention prediction algorithm based on a sliding window support vector machine, and the lane-changing intention of the preceding vehicle in the current lane is identified by lateral position offset. Second, according to the lane-changing intention and collision threat of the preceding vehicle, the target vehicle selection algorithm is studied under three different conditions: safe lane-changing, dangerous lane-changing, and lane-changing cancellation. Finally, the effectiveness of the proposed algorithm is verified in a co–simulation platform. The simulation results show that the target vehicle selection algorithm can ensure the smooth transfer of the target vehicle and effectively reduce the longitudinal acceleration fluctuation of the subject vehicle when the preceding vehicle changes lanes safely or cancels their lane change maneuver. In the case of a dangerous lane change, the target vehicle selection algorithm proposed in this paper can respond more rapidly to a dangerous lane change than the target vehicle selection method of the traditional ACC system; thus, it can effectively avoid collisions and improve the safety of the subject vehicle.
To improve the ride comfort and safety of a traditional adaptive cruise control (ACC) system when the preceding vehicle changes lanes, it proposes a target vehicle selection algorithm based on the prediction of the lane-changing intention for the preceding vehicle. First, the Next Generation Simulation dataset is used to train a lane-changing intention prediction algorithm based on a sliding window support vector machine, and the lane-changing intention of the preceding vehicle in the current lane is identified by lateral position offset. Second, according to the lane-changing intention and collision threat of the preceding vehicle, the target vehicle selection algorithm is studied under three different conditions: safe lane-changing, dangerous lane-changing, and lane-changing cancellation. Finally, the effectiveness of the proposed algorithm is verified in a co–simulation platform. The simulation results show that the target vehicle selection algorithm can ensure the smooth transfer of the target vehicle and effectively reduce the longitudinal acceleration fluctuation of the subject vehicle when the preceding vehicle changes lanes safely or cancels their lane change maneuver. In the case of a dangerous lane change, the target vehicle selection algorithm proposed in this paper can respond more rapidly to a dangerous lane change than the target vehicle selection method of the traditional ACC system; thus, it can effectively avoid collisions and improve the safety of the subject vehicle.
2021, 34: 138.
doi: 10.1186/s10033-021-00664-2
Abstract:
Sheet-bulk metal forming (SBMF) is a promising process for manufacturing complex sheet components with functional elements. In this study, the entire forming process for a typical thin-walled component with external gearing is investigated, including sheet forming and bulk forming processes. Deep drawn cups are prepared during sheet forming; subsequently, upsetting is performed on the sidewall to form external gearing. The upsetting method performed is known as upsetting with a controllable deformation zone (U-CDZ). Compared with the conventional upsetting method, a floating counter punch with a counter force is used in the U-CDZ method such that the forming mechanism is changed into the accumulation of the deformation zone instead of deformation throughout the entire sidewall. The effects of the counter force and material flow are investigated to understand the mechanism. The forming quality, i.e., the formfilling and effective strain distribution, improved, whereas a high forming load is avoided. In addition, a punch with a lock bead is used to prevent folding at the inner corner during the experiment.
Sheet-bulk metal forming (SBMF) is a promising process for manufacturing complex sheet components with functional elements. In this study, the entire forming process for a typical thin-walled component with external gearing is investigated, including sheet forming and bulk forming processes. Deep drawn cups are prepared during sheet forming; subsequently, upsetting is performed on the sidewall to form external gearing. The upsetting method performed is known as upsetting with a controllable deformation zone (U-CDZ). Compared with the conventional upsetting method, a floating counter punch with a counter force is used in the U-CDZ method such that the forming mechanism is changed into the accumulation of the deformation zone instead of deformation throughout the entire sidewall. The effects of the counter force and material flow are investigated to understand the mechanism. The forming quality, i.e., the formfilling and effective strain distribution, improved, whereas a high forming load is avoided. In addition, a punch with a lock bead is used to prevent folding at the inner corner during the experiment.
RSDM: A Powerful Direct Method to Predict the Asymptotic Cyclic Behavior of Elastoplastic Structures
2021, 34: 140.
doi: 10.1186/s10033-021-00658-0
Abstract:
Mechanical engineering structures and structural components are often subjected to cyclic thermomechanical loading which stresses their material beyond its elastic limits well inside the inelastic regime. Depending on the level of loading inelastic strains may lead either to failure, due to low cycle fatigue or ratcheting, or to safety, through elastic shakedown. Thus, it is important to estimate the asymptotic stress state of such structures. This state may be determined by cumbersome incremental time-stepping calculations. Direct methods, alternatively, have big computational advantages as they focus on the characteristics of these states and try to establish them, in a direct way, right from the beginning of the calculations. Among the very few such general-purpose direct methods, a powerful direct method which has been called RSDM has appeared in the literature. The method may directly predict any asymptotic state when the exact time history of the loading is known. The advantage of the method is due to the fact that it addresses the physics of the asymptotic cycle and exploits the cyclic nature of its expected residual stress distribution. Based on RSDM a method for the shakedown analysis of structures, called RSDM-S has also been developed. Despite most direct methods for shakedown, RSDM-S does not need an optimization algorithm for its implementation. Both RSDM and RSDM-S may be implemented in any Finite Element Code. A thorough review of both these methods, together with examples of implementation are presented herein.
Mechanical engineering structures and structural components are often subjected to cyclic thermomechanical loading which stresses their material beyond its elastic limits well inside the inelastic regime. Depending on the level of loading inelastic strains may lead either to failure, due to low cycle fatigue or ratcheting, or to safety, through elastic shakedown. Thus, it is important to estimate the asymptotic stress state of such structures. This state may be determined by cumbersome incremental time-stepping calculations. Direct methods, alternatively, have big computational advantages as they focus on the characteristics of these states and try to establish them, in a direct way, right from the beginning of the calculations. Among the very few such general-purpose direct methods, a powerful direct method which has been called RSDM has appeared in the literature. The method may directly predict any asymptotic state when the exact time history of the loading is known. The advantage of the method is due to the fact that it addresses the physics of the asymptotic cycle and exploits the cyclic nature of its expected residual stress distribution. Based on RSDM a method for the shakedown analysis of structures, called RSDM-S has also been developed. Despite most direct methods for shakedown, RSDM-S does not need an optimization algorithm for its implementation. Both RSDM and RSDM-S may be implemented in any Finite Element Code. A thorough review of both these methods, together with examples of implementation are presented herein.
2021, 34: 142.
doi: 10.1186/s10033-021-00660-6
Abstract:
For design and application of particulate reinforced metal matrix composites (PRMMCs), it is essential to predict the material strengths and understand how do they relate to constituents and microstructural features. To this end, a computational approach consists of the direct methods, homogenization, and statistical analyses is introduced in our previous studies. Since failure of PRMMC materials are often caused by time-varied combinations of tensile and shear stresses, the established approach is extended in the present work to take into account of these situations. In this paper, ultimate strengths and endurance limits of an exemplary PRMMC material, WC-Co, are predicted under three independently varied tensile and shear stresses. In order to cover the entire load space with least amount of weight factors, a new method for generating optimally distributed weight factors in an n dimensional space is formulated. Employing weight factors determined by this algorithm, direct method calculations were performed on many statistically equivalent representative volume elements (SERVE) samples. Through analyzing statistical characteristics associated with results the study suggests a simplified approach to estimate the material strength under superposed stresses without solving the difficult high dimensional shakedown problem.
For design and application of particulate reinforced metal matrix composites (PRMMCs), it is essential to predict the material strengths and understand how do they relate to constituents and microstructural features. To this end, a computational approach consists of the direct methods, homogenization, and statistical analyses is introduced in our previous studies. Since failure of PRMMC materials are often caused by time-varied combinations of tensile and shear stresses, the established approach is extended in the present work to take into account of these situations. In this paper, ultimate strengths and endurance limits of an exemplary PRMMC material, WC-Co, are predicted under three independently varied tensile and shear stresses. In order to cover the entire load space with least amount of weight factors, a new method for generating optimally distributed weight factors in an n dimensional space is formulated. Employing weight factors determined by this algorithm, direct method calculations were performed on many statistically equivalent representative volume elements (SERVE) samples. Through analyzing statistical characteristics associated with results the study suggests a simplified approach to estimate the material strength under superposed stresses without solving the difficult high dimensional shakedown problem.
2021, 34: 143.
doi: 10.1186/s10033-021-00646-4
Abstract:
This paper presents a digital model for the powder metallurgical (PM) production chain of high-performance sintered gears based on an integrated computational materials engineering (ICME) platform. Discrete and finite element methods (DEM and FEM) were combined to describe the macroscopic material response to the thermomechanical loads and process conditions during the entire production process. The microstructural evolution during the sintering process was predicted on the meso-scale using a Monte-Carlo Model. The effective elastic properties were determined by a homogenization method based on modelling a representative volume element (RVE). The results were subsequently used for the FE modelling of the heat treatment process. Through the development of multi-scale models, it was possible obtain characteristics of the microstructural features. The predicted hardness and residual stress distributions allowed the calculation of the tooth root load bearing capacity of the heat-treated sintered gears.
This paper presents a digital model for the powder metallurgical (PM) production chain of high-performance sintered gears based on an integrated computational materials engineering (ICME) platform. Discrete and finite element methods (DEM and FEM) were combined to describe the macroscopic material response to the thermomechanical loads and process conditions during the entire production process. The microstructural evolution during the sintering process was predicted on the meso-scale using a Monte-Carlo Model. The effective elastic properties were determined by a homogenization method based on modelling a representative volume element (RVE). The results were subsequently used for the FE modelling of the heat treatment process. Through the development of multi-scale models, it was possible obtain characteristics of the microstructural features. The predicted hardness and residual stress distributions allowed the calculation of the tooth root load bearing capacity of the heat-treated sintered gears.
2021, 34: 29.
doi: 10.1186/s10033-021-00548-5
Abstract:
The noncircular synchronous belt drive mechanism has demonstrated certain achievements and has been used in special fields. Research regarding noncircular synchronous belt drive mechanisms has focused on optimization design and kinematic analysis in China, whereas two pulley noncircular synchronous belt transmissions have been developed overseas. However, owing to the noncircular characteristics of the belt pulley, the real-time variation in the belt length slack during the transmission of the noncircular synchronous belt is significant, resulting in high probabilities of skipping and vibration. In this study, a noncircular tensioning pulley is added to create a stable three-pulley noncircular synchronous belt driving mechanism and a good synchronous belt tensioning, with no skipping; hence, the non-uniform output characteristic of the driven pulley is consistent with the theoretical value. In the circular noncircular noncircular three-pulley noncircular synchronous belt mechanism, the pitch curve of the driving synchronous belt pulley is circular, whereas those of the driven synchronous belt and tensioning pulleys are noncircular. To minimize the slack of the belt length of the synchronous belt and the constraint of the concavity and circumference of the tensioning pulley, an automatic optimization model of the tensioning pulley pitch curve is established. The motion simulation, analysis, and optimization code for a three-belt-pulley noncircular synchronous belt drive mechanism is written, and the variation in belt length slack under different speed ratios is analyzed based on several examples. The testbed for a circular–noncircular–noncircular three-pulley noncircular synchronous belt transmission mechanism is developed. The test shows that the three-pulley noncircular synchronous belt drives well. This study proposes an automatic optimization algorithm for the tensioning pulley pitch curve of a noncircular synchronous belt transmission mechanism; it yields a stable transmission of the noncircular synchronous belt transmission mechanism as well as non-uniform output characteristics.
The noncircular synchronous belt drive mechanism has demonstrated certain achievements and has been used in special fields. Research regarding noncircular synchronous belt drive mechanisms has focused on optimization design and kinematic analysis in China, whereas two pulley noncircular synchronous belt transmissions have been developed overseas. However, owing to the noncircular characteristics of the belt pulley, the real-time variation in the belt length slack during the transmission of the noncircular synchronous belt is significant, resulting in high probabilities of skipping and vibration. In this study, a noncircular tensioning pulley is added to create a stable three-pulley noncircular synchronous belt driving mechanism and a good synchronous belt tensioning, with no skipping; hence, the non-uniform output characteristic of the driven pulley is consistent with the theoretical value. In the circular noncircular noncircular three-pulley noncircular synchronous belt mechanism, the pitch curve of the driving synchronous belt pulley is circular, whereas those of the driven synchronous belt and tensioning pulleys are noncircular. To minimize the slack of the belt length of the synchronous belt and the constraint of the concavity and circumference of the tensioning pulley, an automatic optimization model of the tensioning pulley pitch curve is established. The motion simulation, analysis, and optimization code for a three-belt-pulley noncircular synchronous belt drive mechanism is written, and the variation in belt length slack under different speed ratios is analyzed based on several examples. The testbed for a circular–noncircular–noncircular three-pulley noncircular synchronous belt transmission mechanism is developed. The test shows that the three-pulley noncircular synchronous belt drives well. This study proposes an automatic optimization algorithm for the tensioning pulley pitch curve of a noncircular synchronous belt transmission mechanism; it yields a stable transmission of the noncircular synchronous belt transmission mechanism as well as non-uniform output characteristics.
2021, 34: 41.
doi: 10.1186/s10033-021-00558-3
Abstract:
Current research on robotic dexterous hands mainly focuses on designing new finger and palm structures, as well as developing smarter control algorithms. Although the dimensional synthesis of dexterous hands with traditional rigid palms has been carried out, research on the dimensional synthesis of dexterous hands with metamorphic palms remains insufficient. This study investigated the dimensional synthesis of a palm of a novel metamorphic multi-fingered hand, and explored the geometric design for maximizing the precision manipulation workspace. Different indexes were used to value the workspace of the metamorphic hand, and the best proportions between the five links of the palm to obtain the optimal workspace of the metamorphic hand were explored. Based on the fixed total length of the palm member, four nondimensional design parameters that determine the size of the palm were introduced; through the discretization method, the influence of the four design parameters on the workspace of the metamorphic hand with full-actuated fingers and under-actuated fingers was analyzed. Based on the analysis of the metamorphic multi-fingered hand, the symmetrical structure of the palm was designed, resulting in the largest workspace of the multi-fingered hand, and proved that the metamorphic palm has a massive upgrade for the workspace of underactuated fingers. This research contributed to the dimensional synthesis of metamorphic dexterous hands, with practical significance for the design and optimization of novel metamorphic hands.
Current research on robotic dexterous hands mainly focuses on designing new finger and palm structures, as well as developing smarter control algorithms. Although the dimensional synthesis of dexterous hands with traditional rigid palms has been carried out, research on the dimensional synthesis of dexterous hands with metamorphic palms remains insufficient. This study investigated the dimensional synthesis of a palm of a novel metamorphic multi-fingered hand, and explored the geometric design for maximizing the precision manipulation workspace. Different indexes were used to value the workspace of the metamorphic hand, and the best proportions between the five links of the palm to obtain the optimal workspace of the metamorphic hand were explored. Based on the fixed total length of the palm member, four nondimensional design parameters that determine the size of the palm were introduced; through the discretization method, the influence of the four design parameters on the workspace of the metamorphic hand with full-actuated fingers and under-actuated fingers was analyzed. Based on the analysis of the metamorphic multi-fingered hand, the symmetrical structure of the palm was designed, resulting in the largest workspace of the multi-fingered hand, and proved that the metamorphic palm has a massive upgrade for the workspace of underactuated fingers. This research contributed to the dimensional synthesis of metamorphic dexterous hands, with practical significance for the design and optimization of novel metamorphic hands.
2021, 34: 60.
doi: 10.1186/s10033-021-00582-3
Abstract:
Lubrication failure is one of the main failure forms of gear failure. Time varying meshing stiffness is an important factor affecting the dynamic behavior of gears. However, the influence of oil film stiffness is usually ignored in the research process. In this paper, according to the meshing characteristics of double involute gears, based on the non-Newtonian thermal EHL theory, a new calculation method of normal and tangential oil film stiffness for double involute gears is established by the idea of subsection method. The oil film stiffness difference between double involute gears and common involute gears is analyzed, and the influence of tooth waist order parameters, working conditions, and thermal effect on the oil film stiffness are studied. The results reveal that there are some differences between normal and tangential oil film stiffness between double involute gears and common involute gears, but there is little difference. Compared with the torque, rotation speed and initial viscosity of the lubricating oil, the tooth waist order parameters have less influence on the oil film stiffness. Thermal effect has a certain influence on normal and tangential oil film stiffness, which indicates that the influence of thermal effect on the oil film can not be ignored. This research proposes a calculation method of normal and tangential oil film stiffness suitable for double involute gears, which provides a theoretical basis for improving the stability of the transmission.
Lubrication failure is one of the main failure forms of gear failure. Time varying meshing stiffness is an important factor affecting the dynamic behavior of gears. However, the influence of oil film stiffness is usually ignored in the research process. In this paper, according to the meshing characteristics of double involute gears, based on the non-Newtonian thermal EHL theory, a new calculation method of normal and tangential oil film stiffness for double involute gears is established by the idea of subsection method. The oil film stiffness difference between double involute gears and common involute gears is analyzed, and the influence of tooth waist order parameters, working conditions, and thermal effect on the oil film stiffness are studied. The results reveal that there are some differences between normal and tangential oil film stiffness between double involute gears and common involute gears, but there is little difference. Compared with the torque, rotation speed and initial viscosity of the lubricating oil, the tooth waist order parameters have less influence on the oil film stiffness. Thermal effect has a certain influence on normal and tangential oil film stiffness, which indicates that the influence of thermal effect on the oil film can not be ignored. This research proposes a calculation method of normal and tangential oil film stiffness suitable for double involute gears, which provides a theoretical basis for improving the stability of the transmission.
2021, 34: 64.
doi: 10.1186/s10033-021-00578-z
Abstract:
The paper proposes a novel multi-legged robot with pitch adjustive units aiming at obstacle surmounting. With only 6 degrees of freedom, the robot with 16 mechanical legs walks steadily and surmounts the obstacles on the complex terrain. The leg unit with adjustive pitch provides a large workspace and empowers the legs to climb up obstacles in large sizes, which enhances the obstacle surmounting capability. The pitch adjustment in leg unit requires as few independent adjusting actuators as possible. Based on the kinematic analysis of the mechanical leg, the biped and quadruped leg units with adjustive pitch are analyzed and compared. The configuration of the robot is designed to obtain a compact structure and pragmatic performance. The uncertainty of the obstacle size and position in the surmounting process is taken into consideration and the parameters of the adjustments and the feasible strategies for obstacle surmounting are presented. Then the 3D virtual model and the robot prototype are built and the multi-body dynamic simulations and prototype experiments are carried out. The results from the simulations and the experiments show that the robot possesses good obstacle surmounting capabilities.
The paper proposes a novel multi-legged robot with pitch adjustive units aiming at obstacle surmounting. With only 6 degrees of freedom, the robot with 16 mechanical legs walks steadily and surmounts the obstacles on the complex terrain. The leg unit with adjustive pitch provides a large workspace and empowers the legs to climb up obstacles in large sizes, which enhances the obstacle surmounting capability. The pitch adjustment in leg unit requires as few independent adjusting actuators as possible. Based on the kinematic analysis of the mechanical leg, the biped and quadruped leg units with adjustive pitch are analyzed and compared. The configuration of the robot is designed to obtain a compact structure and pragmatic performance. The uncertainty of the obstacle size and position in the surmounting process is taken into consideration and the parameters of the adjustments and the feasible strategies for obstacle surmounting are presented. Then the 3D virtual model and the robot prototype are built and the multi-body dynamic simulations and prototype experiments are carried out. The results from the simulations and the experiments show that the robot possesses good obstacle surmounting capabilities.
2021, 34: 65.
doi: 10.1186/s10033-021-00575-2
Abstract:
The distinguishing feature of a vertical ball screw feed system without counterweight is that the spindle system weight directly acts on the kinematic joints. Research into the dynamic characteristics under acceleration and deceleration is an important step in improving the structural performance of vertical milling machines. The magnitude and direction of the inertial force change significantly when the spindle system accelerates and decelerates. Therefore, the kinematic joint contact stiffness changes under the action of the inertial force and the spindle system weight. Thus, the system transmission stiffness also varies and affects the dynamics. In this study, a variable-coefficient lumped parameter dynamic model that considers the changes in the spindle system weight and the magnitude and direction of the inertial force is established for a ball screw feed system without counterweight. In addition, a calculation method for the system stiffness is provided. Experiments on a vertical ball screw feed system under acceleration and deceleration with different accelerations are also performed to verify the proposed dynamic model. Finally, the influence of the spindle system position, the rated dynamic load of the screw-nut joint, and the screw tension force on the natural frequency of the vertical ball screw feed system under acceleration and deceleration are studied. The results show that the vertical ball screw feed system has obviously different variable dynamics under acceleration and deceleration. The influence of the rated dynamic load and the spindle system position on the natural frequency under acceleration and deceleration is much greater than that of the screw tension force.
The distinguishing feature of a vertical ball screw feed system without counterweight is that the spindle system weight directly acts on the kinematic joints. Research into the dynamic characteristics under acceleration and deceleration is an important step in improving the structural performance of vertical milling machines. The magnitude and direction of the inertial force change significantly when the spindle system accelerates and decelerates. Therefore, the kinematic joint contact stiffness changes under the action of the inertial force and the spindle system weight. Thus, the system transmission stiffness also varies and affects the dynamics. In this study, a variable-coefficient lumped parameter dynamic model that considers the changes in the spindle system weight and the magnitude and direction of the inertial force is established for a ball screw feed system without counterweight. In addition, a calculation method for the system stiffness is provided. Experiments on a vertical ball screw feed system under acceleration and deceleration with different accelerations are also performed to verify the proposed dynamic model. Finally, the influence of the spindle system position, the rated dynamic load of the screw-nut joint, and the screw tension force on the natural frequency of the vertical ball screw feed system under acceleration and deceleration are studied. The results show that the vertical ball screw feed system has obviously different variable dynamics under acceleration and deceleration. The influence of the rated dynamic load and the spindle system position on the natural frequency under acceleration and deceleration is much greater than that of the screw tension force.
2021, 34: 76.
doi: 10.1186/s10033-021-00595-y
Abstract:
Motion control of the human hand is the most complex part of the human body. It has always been a challenge for a good balance between the cost, weight, responding speed, grasping force, finger extension, and dexterity of prosthetic hand. To solve these issues, a 3D-printed cable driven humanoid hand based on bidirectional elastomeric passive transmission (BEPT) is designed in this paper. A semi-static model of BEPT is investigated based on energy conservation law to analyze the mechanical properties of BEPT and a dynamical simulation of finger grasping is conducted. For a good imitation of human hand and an excellent grasping performance, specific BEPT is selected according to human finger grasping experiments. The advantage of BEPT based humanoid hand is that a good balance between the price and performance of the humanoid hand is achieved. Experiments proved that the designed prosthetic hand's single fingertip force can reach 33 N and the fastest fingertip grasping speed realized 0.6 s/180°. It also has a good force compliance effect with only 430g's weight. It can not only grab fragile objects like raw eggs and paper cup, but also achieve strong grasping force to damage metal cans. This humanoid hand has considerable application prospects in artificial prosthesis, human-computer interaction, and robot operation.
Motion control of the human hand is the most complex part of the human body. It has always been a challenge for a good balance between the cost, weight, responding speed, grasping force, finger extension, and dexterity of prosthetic hand. To solve these issues, a 3D-printed cable driven humanoid hand based on bidirectional elastomeric passive transmission (BEPT) is designed in this paper. A semi-static model of BEPT is investigated based on energy conservation law to analyze the mechanical properties of BEPT and a dynamical simulation of finger grasping is conducted. For a good imitation of human hand and an excellent grasping performance, specific BEPT is selected according to human finger grasping experiments. The advantage of BEPT based humanoid hand is that a good balance between the price and performance of the humanoid hand is achieved. Experiments proved that the designed prosthetic hand's single fingertip force can reach 33 N and the fastest fingertip grasping speed realized 0.6 s/180°. It also has a good force compliance effect with only 430g's weight. It can not only grab fragile objects like raw eggs and paper cup, but also achieve strong grasping force to damage metal cans. This humanoid hand has considerable application prospects in artificial prosthesis, human-computer interaction, and robot operation.
2021, 34: 77.
doi: 10.1186/s10033-021-00594-z
Abstract:
Robotic grippers have been used in industry as end-effectors but are usually limited to operations in pre-defined workspace. However, few devices can capture irregularly shaped dynamic targets in space, underwater and other unstructured environments. In this paper, a novel continuum arm group mechanism inspired by the morphology and motions of sea anemones is proposed. It is able to dissipate and absorb the kinetic energy of a fast moving target in omni-direction and utilize multiple arms to wrap and lock the target without accurate positioning control. Wire-driven actuation systems are implemented in the individual continuum arms, achieving both bending motion and stiffness regulation. Through finite element method, the influence of different configurations of the continuum arm group on the capture performance is analyzed. A robotic prototype is constructed and tested, showing the presented arm group mechanism has high adaptability to capture targets with different sizes, shapes, and incident angles.
Robotic grippers have been used in industry as end-effectors but are usually limited to operations in pre-defined workspace. However, few devices can capture irregularly shaped dynamic targets in space, underwater and other unstructured environments. In this paper, a novel continuum arm group mechanism inspired by the morphology and motions of sea anemones is proposed. It is able to dissipate and absorb the kinetic energy of a fast moving target in omni-direction and utilize multiple arms to wrap and lock the target without accurate positioning control. Wire-driven actuation systems are implemented in the individual continuum arms, achieving both bending motion and stiffness regulation. Through finite element method, the influence of different configurations of the continuum arm group on the capture performance is analyzed. A robotic prototype is constructed and tested, showing the presented arm group mechanism has high adaptability to capture targets with different sizes, shapes, and incident angles.
2021, 34: 37.
doi: 10.1186/s10033-021-00553-8
Abstract:
Roller bearing failure is one of the most common faults in rotating machines. Various techniques for bearing fault diagnosis based on faults feature extraction have been proposed. But feature extraction from fault signals requires expert prior information and human labour. Recently, deep learning algorithms have been applied extensively in the condition monitoring of rotating machines to learn features automatically from the input data. Given its robust performance in image recognition, the convolutional neural network (CNN) architecture has been widely used to learn automatically discriminative features from vibration images and classify health conditions. This paper proposes and evaluates a two-stage method RGBVI-CNN for roller bearings fault diagnosis. The first stage in the proposed method is to generate the RGB vibration images (RGBVIs) from the input vibration signals. To begin this process, first, the 1-D vibration signals were converted to 2-D grayscale vibration Images. Once the conversion was completed, the regions of interest (ROI) were found in the converted 2-D grayscale vibration images. Finally, to produce vibration images with more discriminative characteristics, an algorithm was applied to the 2-D grayscale vibration images to produce connected components-based RGB vibration images (RGBVIs) with sets of colours and texture features. In the second stage, with these RGBVIs a CNN-based architecture was employed to learn automatically features from the RGBVIs and to classify bearing health conditions. Two cases of fault classification of rolling element bearings are used to validate the proposed method. Experimental results of this investigation demonstrate that RGBVI-CNN can generate advantageous health condition features from bearing vibration signals and classify the health conditions under different working loads with high accuracy. Moreover, several classification models trained using RGBVI-CNN offered high performance in the testing results of the overall classification accuracy, precision, recall, and F-score.
Roller bearing failure is one of the most common faults in rotating machines. Various techniques for bearing fault diagnosis based on faults feature extraction have been proposed. But feature extraction from fault signals requires expert prior information and human labour. Recently, deep learning algorithms have been applied extensively in the condition monitoring of rotating machines to learn features automatically from the input data. Given its robust performance in image recognition, the convolutional neural network (CNN) architecture has been widely used to learn automatically discriminative features from vibration images and classify health conditions. This paper proposes and evaluates a two-stage method RGBVI-CNN for roller bearings fault diagnosis. The first stage in the proposed method is to generate the RGB vibration images (RGBVIs) from the input vibration signals. To begin this process, first, the 1-D vibration signals were converted to 2-D grayscale vibration Images. Once the conversion was completed, the regions of interest (ROI) were found in the converted 2-D grayscale vibration images. Finally, to produce vibration images with more discriminative characteristics, an algorithm was applied to the 2-D grayscale vibration images to produce connected components-based RGB vibration images (RGBVIs) with sets of colours and texture features. In the second stage, with these RGBVIs a CNN-based architecture was employed to learn automatically features from the RGBVIs and to classify bearing health conditions. Two cases of fault classification of rolling element bearings are used to validate the proposed method. Experimental results of this investigation demonstrate that RGBVI-CNN can generate advantageous health condition features from bearing vibration signals and classify the health conditions under different working loads with high accuracy. Moreover, several classification models trained using RGBVI-CNN offered high performance in the testing results of the overall classification accuracy, precision, recall, and F-score.
2021, 34: 52.
doi: 10.1186/s10033-021-00566-3
Abstract:
In machinery fault diagnosis, labeled data are always difficult or even impossible to obtain. Transfer learning can leverage related fault diagnosis knowledge from fully labeled source domain to enhance the fault diagnosis performance in sparsely labeled or unlabeled target domain, which has been widely used for cross domain fault diagnosis. However, existing methods focus on either marginal distribution adaptation (MDA) or conditional distribution adaptation (CDA). In practice, marginal and conditional distributions discrepancies both have significant but different influences on the domain divergence. In this paper, a dynamic distribution adaptation based transfer network (DDATN) is proposed for cross domain bearing fault diagnosis. DDATN utilizes the proposed instance-weighted dynamic maximum mean discrepancy (IDMMD) for dynamic distribution adaptation (DDA), which can dynamically estimate the influences of marginal and conditional distribution and adapt target domain with source domain. The experimental evaluation on cross domain bearing fault diagnosis demonstrates that DDATN can outperformance the state-of-the-art cross domain fault diagnosis methods.
In machinery fault diagnosis, labeled data are always difficult or even impossible to obtain. Transfer learning can leverage related fault diagnosis knowledge from fully labeled source domain to enhance the fault diagnosis performance in sparsely labeled or unlabeled target domain, which has been widely used for cross domain fault diagnosis. However, existing methods focus on either marginal distribution adaptation (MDA) or conditional distribution adaptation (CDA). In practice, marginal and conditional distributions discrepancies both have significant but different influences on the domain divergence. In this paper, a dynamic distribution adaptation based transfer network (DDATN) is proposed for cross domain bearing fault diagnosis. DDATN utilizes the proposed instance-weighted dynamic maximum mean discrepancy (IDMMD) for dynamic distribution adaptation (DDA), which can dynamically estimate the influences of marginal and conditional distribution and adapt target domain with source domain. The experimental evaluation on cross domain bearing fault diagnosis demonstrates that DDATN can outperformance the state-of-the-art cross domain fault diagnosis methods.
2021, 34: 56.
doi: 10.1186/s10033-021-00570-7
Abstract:
Prognostics and Health Management (PHM), including monitoring, diagnosis, prognosis, and health management, occupies an increasingly important position in reducing costly breakdowns and avoiding catastrophic accidents in modern industry. With the development of artificial intelligence (AI), especially deep learning (DL) approaches, the application of AI-enabled methods to monitor, diagnose and predict potential equipment malfunctions has gone through tremendous progress with verified success in both academia and industry. However, there is still a gap to cover monitoring, diagnosis, and prognosis based on AI-enabled methods, simultaneously, and the importance of an open source community, including open source datasets and codes, has not been fully emphasized. To fill this gap, this paper provides a systematic overview of the current development, common technologies, open source datasets, codes, and challenges of AI-enabled PHM methods from three aspects of monitoring, diagnosis, and prognosis.
Prognostics and Health Management (PHM), including monitoring, diagnosis, prognosis, and health management, occupies an increasingly important position in reducing costly breakdowns and avoiding catastrophic accidents in modern industry. With the development of artificial intelligence (AI), especially deep learning (DL) approaches, the application of AI-enabled methods to monitor, diagnose and predict potential equipment malfunctions has gone through tremendous progress with verified success in both academia and industry. However, there is still a gap to cover monitoring, diagnosis, and prognosis based on AI-enabled methods, simultaneously, and the importance of an open source community, including open source datasets and codes, has not been fully emphasized. To fill this gap, this paper provides a systematic overview of the current development, common technologies, open source datasets, codes, and challenges of AI-enabled PHM methods from three aspects of monitoring, diagnosis, and prognosis.
2021, 34: 68.
doi: 10.1186/s10033-021-00589-w
Abstract:
2021, 34: 69.
doi: 10.1186/s10033-021-00588-x
Abstract:
The remaining useful life (RUL) of a system is generally predicted by utilising the data collected from the sensors that continuously monitor different indicators. Recently, different deep learning (DL) techniques have been used for RUL prediction and achieved great success. Because the data is often time-sequential, recurrent neural network (RNN) has attracted significant interests due to its efficiency in dealing with such data. This paper systematically reviews RNN and its variants for RUL prediction, with a specific focus on understanding how different components (e.g., types of optimisers and activation functions) or parameters (e.g., sequence length, neuron quantities) affect their performance. After that, a case study using the well-studied NASA's C-MAPSS dataset is presented to quantitatively evaluate the influence of various state-of-the-art RNN structures on the RUL prediction performance. The result suggests that the variant methods usually perform better than the original RNN, and among which, Bi-directional Long Short-Term Memory generally has the best performance in terms of stability, precision and accuracy. Certain model structures may fail to produce valid RUL prediction result due to the gradient vanishing or gradient exploring problem if the parameters are not chosen appropriately. It is concluded that parameter tuning is a crucial step to achieve optimal prediction performance.
The remaining useful life (RUL) of a system is generally predicted by utilising the data collected from the sensors that continuously monitor different indicators. Recently, different deep learning (DL) techniques have been used for RUL prediction and achieved great success. Because the data is often time-sequential, recurrent neural network (RNN) has attracted significant interests due to its efficiency in dealing with such data. This paper systematically reviews RNN and its variants for RUL prediction, with a specific focus on understanding how different components (e.g., types of optimisers and activation functions) or parameters (e.g., sequence length, neuron quantities) affect their performance. After that, a case study using the well-studied NASA's C-MAPSS dataset is presented to quantitatively evaluate the influence of various state-of-the-art RNN structures on the RUL prediction performance. The result suggests that the variant methods usually perform better than the original RNN, and among which, Bi-directional Long Short-Term Memory generally has the best performance in terms of stability, precision and accuracy. Certain model structures may fail to produce valid RUL prediction result due to the gradient vanishing or gradient exploring problem if the parameters are not chosen appropriately. It is concluded that parameter tuning is a crucial step to achieve optimal prediction performance.
2021, 34: 71.
doi: 10.1186/s10033-021-00587-y
Abstract:
Characterized by self-monitoring and agile adaptation to fast changing dynamics in complex production environments, smart manufacturing as envisioned under Industry 4.0 aims to improve the throughput and reliability of production beyond the state-of-the-art. While the widespread application of deep learning (DL) has opened up new opportunities to accomplish the goal, data quality and model interpretability have continued to present a roadblock for the widespread acceptance of DL for real-world applications. This has motivated research on two fronts: data curation, which aims to provide quality data as input for meaningful DL-based analysis, and model interpretation, which intends to reveal the physical reasoning underlying DL model outputs and promote trust from the users. This paper summarizes several key techniques in data curation where breakthroughs in data denoising, outlier detection, imputation, balancing, and semantic annotation have demonstrated the effectiveness in information extraction from noisy, incomplete, insufficient, and/or unannotated data. Also highlighted are model interpretation methods that address the pblack-boxq nature of DL towards model transparency.
Characterized by self-monitoring and agile adaptation to fast changing dynamics in complex production environments, smart manufacturing as envisioned under Industry 4.0 aims to improve the throughput and reliability of production beyond the state-of-the-art. While the widespread application of deep learning (DL) has opened up new opportunities to accomplish the goal, data quality and model interpretability have continued to present a roadblock for the widespread acceptance of DL for real-world applications. This has motivated research on two fronts: data curation, which aims to provide quality data as input for meaningful DL-based analysis, and model interpretation, which intends to reveal the physical reasoning underlying DL model outputs and promote trust from the users. This paper summarizes several key techniques in data curation where breakthroughs in data denoising, outlier detection, imputation, balancing, and semantic annotation have demonstrated the effectiveness in information extraction from noisy, incomplete, insufficient, and/or unannotated data. Also highlighted are model interpretation methods that address the pblack-boxq nature of DL towards model transparency.
2021, 34: 48.
doi: 10.1186/s10033-021-00573-4
Abstract:
COVID-19 pandemic has accelerated the re-shaping of globalized manufacturing industry. Achieving a high level of resilience is thereby a recognized, essential ability of future manufacturing systems with the advances in smart manufacturing and Industry 4.0. In this work, a conceptual framework for resilient manufacturing strategy enabled by Industrial Internet is proposed. It is elaborated as a four-phase, closed-loop process that centered on proactive industry assessment. Key enabling technologies for the proposed framework are outlined in data acquisition and management, big data analysis, intelligent services, and others. Industrial Internet-enabled implementations in China in response to COVID-19 have then been reviewed and discussed from 3Rsa€? perspective, i.e. manufacturer capacity Recovery, supply chain Resilience and emergency Response. It is suggested that an industry-specific and comprehensive selection coordinated with the guiding policy and supporting regulations should be performed at the national, at least regional level.
COVID-19 pandemic has accelerated the re-shaping of globalized manufacturing industry. Achieving a high level of resilience is thereby a recognized, essential ability of future manufacturing systems with the advances in smart manufacturing and Industry 4.0. In this work, a conceptual framework for resilient manufacturing strategy enabled by Industrial Internet is proposed. It is elaborated as a four-phase, closed-loop process that centered on proactive industry assessment. Key enabling technologies for the proposed framework are outlined in data acquisition and management, big data analysis, intelligent services, and others. Industrial Internet-enabled implementations in China in response to COVID-19 have then been reviewed and discussed from 3Rsa€? perspective, i.e. manufacturer capacity Recovery, supply chain Resilience and emergency Response. It is suggested that an industry-specific and comprehensive selection coordinated with the guiding policy and supporting regulations should be performed at the national, at least regional level.
2021, 34: 116.
doi: 10.1186/s10033-021-00656-2
Abstract:
2021, 34: 90.
doi: 10.1186/s10033-021-00611-1
Abstract:
At present, there are many studies on the residual stress field and plastic strain field introduced by surface strengthening, which can well hinder the initiation of early fatigue cracks and delay the propagation of fatigue cracks. However, there are few studies on the effects of these key factors on fretting wear. In the paper, shot-peening (SP) and ultrasonic surface rolling process (USRP) were performed on Ti-6Al-4V plate specimens. The surface hardness and residual stresses of the material were tested by vickers indenter and X-ray diffraction residual stress analyzer. Microhardness were measured by HXD-1000MC/CD micro Vickers hardness tester. The effects of different surface strengthening on its fretting fatigue properties were verified by fretting fatigue experiments. The fretting fatigue fracture surface and wear morphology of the specimens were studied and analyzed by means of microscopic observation, and the mechanism of improving fretting fatigue life by surface strengthening process was further explained. After USRP treatment, the surface roughness of Ti-6Al-4V is significantly improved. In addition, the microhardness of the specimen after SP reaches the maximum at 80 μm from the surface, which is about 123% higher than that of the AsR specimen. After USRP, it reaches the maximum at 150 μm from the surface, which is about 128% higher than that of AsR specimen. It is also found that the residual compressive stress of the specimens treated by USRP and SP increases first and then decreases with the depth direction, and the residual stress reaches the maximum on the sub surface. The USRP specimen reaches the maximum value at 0.18 mm, about −550 MPa, while the SP specimen reaches the maximum value at 0.1 mm, about −380 MPa. The fretting fatigue life of Ti-6Al-4V effectively improved after USRP and SP. The surface integrity of specimens after USRP is the best, which has deeper residual compressive stress layer and more refined grain. In this paper, a fretting wear device is designed to carry out fretting fatigue experiments on specimens with different surface strengthening.
At present, there are many studies on the residual stress field and plastic strain field introduced by surface strengthening, which can well hinder the initiation of early fatigue cracks and delay the propagation of fatigue cracks. However, there are few studies on the effects of these key factors on fretting wear. In the paper, shot-peening (SP) and ultrasonic surface rolling process (USRP) were performed on Ti-6Al-4V plate specimens. The surface hardness and residual stresses of the material were tested by vickers indenter and X-ray diffraction residual stress analyzer. Microhardness were measured by HXD-1000MC/CD micro Vickers hardness tester. The effects of different surface strengthening on its fretting fatigue properties were verified by fretting fatigue experiments. The fretting fatigue fracture surface and wear morphology of the specimens were studied and analyzed by means of microscopic observation, and the mechanism of improving fretting fatigue life by surface strengthening process was further explained. After USRP treatment, the surface roughness of Ti-6Al-4V is significantly improved. In addition, the microhardness of the specimen after SP reaches the maximum at 80 μm from the surface, which is about 123% higher than that of the AsR specimen. After USRP, it reaches the maximum at 150 μm from the surface, which is about 128% higher than that of AsR specimen. It is also found that the residual compressive stress of the specimens treated by USRP and SP increases first and then decreases with the depth direction, and the residual stress reaches the maximum on the sub surface. The USRP specimen reaches the maximum value at 0.18 mm, about −550 MPa, while the SP specimen reaches the maximum value at 0.1 mm, about −380 MPa. The fretting fatigue life of Ti-6Al-4V effectively improved after USRP and SP. The surface integrity of specimens after USRP is the best, which has deeper residual compressive stress layer and more refined grain. In this paper, a fretting wear device is designed to carry out fretting fatigue experiments on specimens with different surface strengthening.
2021, 34: 94.
doi: 10.1186/s10033-021-00617-9
Abstract:
The spherical indentation test has been successfully applied to inversely derive the tensile properties of small regions in a non-destructive way. Current inverse methods mainly rely on extensive iterative calculations, which yield a considerable computational costs. In this paper, a database method is proposed to determine tensile flow properties from a single indentation force-depth curves to avoid iterative simulations. Firstly, a database that contain numerous indentation force-depth curves is established by inputting varied Ludwic material parameters into the indentation finite elements model. Secondly, for a given experimental indentation curve, a mean square error (MSE) is designated to evaluate the deviation between the experimental curve and each curve in the database. Finally, the true stresses at a series of plastic strain can be acquired by analyzing these deviations. To validate this new method, three different steels, i.e. A508, 2.25Cr1Mo and 316L are selected. Both simulated indentation curves and experimental indentation curves are used as inputs of the database to inversely acquire the flow properties. The result indicates that the proposed approach provides impressive accuracy when simulated indentation curves are used, but is less accurate when experimental curves are used. This new method can derive tensile properties in a much higher efficiency compared with traditional inverse method and are therefore more adaptive to engineering application.
The spherical indentation test has been successfully applied to inversely derive the tensile properties of small regions in a non-destructive way. Current inverse methods mainly rely on extensive iterative calculations, which yield a considerable computational costs. In this paper, a database method is proposed to determine tensile flow properties from a single indentation force-depth curves to avoid iterative simulations. Firstly, a database that contain numerous indentation force-depth curves is established by inputting varied Ludwic material parameters into the indentation finite elements model. Secondly, for a given experimental indentation curve, a mean square error (MSE) is designated to evaluate the deviation between the experimental curve and each curve in the database. Finally, the true stresses at a series of plastic strain can be acquired by analyzing these deviations. To validate this new method, three different steels, i.e. A508, 2.25Cr1Mo and 316L are selected. Both simulated indentation curves and experimental indentation curves are used as inputs of the database to inversely acquire the flow properties. The result indicates that the proposed approach provides impressive accuracy when simulated indentation curves are used, but is less accurate when experimental curves are used. This new method can derive tensile properties in a much higher efficiency compared with traditional inverse method and are therefore more adaptive to engineering application.
2021, 34: 127.
doi: 10.1186/s10033-021-00653-5
Abstract:
A successive tooth forming process for producing large modulus spur gears (m>2.5 mm) is firstly proposed in this paper to break the restrictions of large forming load and large equipment structure of traditional plastic forming. It contains the preforming stage and the finishing stage. In the first stage, the die with a single-tooth preforms gear teeth one by one through several passes. In the second stage, the other die with multi-teeth refines the preformed teeth into required shape. The influence of total pressing depth and feed distribution in preforming stage on final forming quality is analyzed by numerical simulation, and the reasonable process parameters are presented. Successive tooth forming experiments are carried out on the self-designed gear forming device to verify the optimal simulation results. Gears without fold defects are well formed both in simulations and experiments, proving the feasibility of this method. Compared with the whole die forging process, the new technology has advantages of smaller load and simpler tooling, which shows a good potential for manufacturing large modulus and large size spur gears.
A successive tooth forming process for producing large modulus spur gears (m>2.5 mm) is firstly proposed in this paper to break the restrictions of large forming load and large equipment structure of traditional plastic forming. It contains the preforming stage and the finishing stage. In the first stage, the die with a single-tooth preforms gear teeth one by one through several passes. In the second stage, the other die with multi-teeth refines the preformed teeth into required shape. The influence of total pressing depth and feed distribution in preforming stage on final forming quality is analyzed by numerical simulation, and the reasonable process parameters are presented. Successive tooth forming experiments are carried out on the self-designed gear forming device to verify the optimal simulation results. Gears without fold defects are well formed both in simulations and experiments, proving the feasibility of this method. Compared with the whole die forging process, the new technology has advantages of smaller load and simpler tooling, which shows a good potential for manufacturing large modulus and large size spur gears.
2021, 34: 128.
doi: 10.1186/s10033-021-00654-4
Abstract:
The penetration of CaO–MgO–Al2O3–SiO2 (CMAS) is one of the most significant factors that induce the failure of air-plasma-sprayed thermal barrier coatings (APS TBCs). The direct penetration of CMAS changes the thermal/mechanical properties of the top coat (TC) layer, which affects the thermal mismatch stress behavior and the growth of thermally grown oxide (TGO) at the TC/bond coat (BC) interface, thereby resulting in a more complicated interface stress state. In the present study, a two-dimensional global model of APS TBCs with half of the TC layer penetrated by CMAS is established to investigate the effect of non-uniform CMAS penetration on the interface stress behavior. Subsequently, a local model extracted from the global model is established to investigate the effects of interface morphologies and CMAS penetration depth. The results show that non-uniform CMAS penetration causes non-uniform TGO growth in APS TBCs, which consequently causes the stress behavior to vary along the interface. Furthermore, the CMAS penetration depth imposes a significant effect on the TC/TGO interface stress behavior, whereas the interface roughness exerts a prominent effect on the stress level at the BC/TGO interface under CMAS penetration. This study reveals the mechanism associated with the effect of non-uniform CMAS penetration on the interface stress behavior in APS TBCSs.
The penetration of CaO–MgO–Al2O3–SiO2 (CMAS) is one of the most significant factors that induce the failure of air-plasma-sprayed thermal barrier coatings (APS TBCs). The direct penetration of CMAS changes the thermal/mechanical properties of the top coat (TC) layer, which affects the thermal mismatch stress behavior and the growth of thermally grown oxide (TGO) at the TC/bond coat (BC) interface, thereby resulting in a more complicated interface stress state. In the present study, a two-dimensional global model of APS TBCs with half of the TC layer penetrated by CMAS is established to investigate the effect of non-uniform CMAS penetration on the interface stress behavior. Subsequently, a local model extracted from the global model is established to investigate the effects of interface morphologies and CMAS penetration depth. The results show that non-uniform CMAS penetration causes non-uniform TGO growth in APS TBCs, which consequently causes the stress behavior to vary along the interface. Furthermore, the CMAS penetration depth imposes a significant effect on the TC/TGO interface stress behavior, whereas the interface roughness exerts a prominent effect on the stress level at the BC/TGO interface under CMAS penetration. This study reveals the mechanism associated with the effect of non-uniform CMAS penetration on the interface stress behavior in APS TBCSs.
2021, 34: 129.
doi: 10.1186/s10033-021-00657-1
Abstract:
A diffuse acoustic field has been increasingly used to infer temporal changes in the structures, such as early dislocations and microcracking. This study explores three different techniques to characterise acoustic field by using a single ultrasonic phased array. The first two techniques are proposed to measure spatial uniformity of wave field by examining differences in the integral of energy and the maximum energy respectively at multiple inspection locations. The third one is developed to evaluate the degree of phase coherence between propagating waves transmitted sequentially by two neighbouring array elements. The efficacy of these techniques are investigated by examining their metrics on simulations and well-known samples. The results suggest that two selected metrics can be used to quantitatively estimate the diffuse field start time as well as the field size by comparing their value with the idealised diffuse state (15% for the energy integral metric, ηarea and 1 for the phase coherence metric, ηphase) and identifying the convergence start point.
A diffuse acoustic field has been increasingly used to infer temporal changes in the structures, such as early dislocations and microcracking. This study explores three different techniques to characterise acoustic field by using a single ultrasonic phased array. The first two techniques are proposed to measure spatial uniformity of wave field by examining differences in the integral of energy and the maximum energy respectively at multiple inspection locations. The third one is developed to evaluate the degree of phase coherence between propagating waves transmitted sequentially by two neighbouring array elements. The efficacy of these techniques are investigated by examining their metrics on simulations and well-known samples. The results suggest that two selected metrics can be used to quantitatively estimate the diffuse field start time as well as the field size by comparing their value with the idealised diffuse state (15% for the energy integral metric, ηarea and 1 for the phase coherence metric, ηphase) and identifying the convergence start point.
2021, 34: 130.
doi: 10.1186/s10033-021-00644-6
Abstract:
The hot or cold processing would induce the change and the inhomogeneous of the material mechanical properties in the local processing region of the structure, and it is difficult to obtain the specific mechanical properties in these regions by using the traditional material tensile test. To accurately get actual material mechanical properties in the local region of structure, a micro-indentation test system incorporated by an electronic universal material test device has been established. An indenter displacement sensor and a group of special micro-indenter assemblies are established. A numerical indentation inversion analysis method by using ABAQUS software is also proposed in this study. Based on the above test system and analysis platform, an approach to obtaining material mechanical properties in the local region of structures is proposed and established. The ball indentation test is performed and combined with the energy method by using various changed mechanical properties of 316L austenitic stainless steel under different elongations. The investigated results indicate that the material mechanical properties and the micro-indentation morphological changes have evidently relevance. Compared with the tensile test results, the deviations of material mechanical parameters, such as hardness H, the hardening exponent n, the yield strength σy, and others are within 5% obtained through the indentation test and the finite element analysis. It provides an effective and convenient method for obtaining the actual material mechanical properties in the local processing region of the structure.
The hot or cold processing would induce the change and the inhomogeneous of the material mechanical properties in the local processing region of the structure, and it is difficult to obtain the specific mechanical properties in these regions by using the traditional material tensile test. To accurately get actual material mechanical properties in the local region of structure, a micro-indentation test system incorporated by an electronic universal material test device has been established. An indenter displacement sensor and a group of special micro-indenter assemblies are established. A numerical indentation inversion analysis method by using ABAQUS software is also proposed in this study. Based on the above test system and analysis platform, an approach to obtaining material mechanical properties in the local region of structures is proposed and established. The ball indentation test is performed and combined with the energy method by using various changed mechanical properties of 316L austenitic stainless steel under different elongations. The investigated results indicate that the material mechanical properties and the micro-indentation morphological changes have evidently relevance. Compared with the tensile test results, the deviations of material mechanical parameters, such as hardness H, the hardening exponent n, the yield strength σy, and others are within 5% obtained through the indentation test and the finite element analysis. It provides an effective and convenient method for obtaining the actual material mechanical properties in the local processing region of the structure.
2021, 34: 131.
doi: 10.1186/s10033-021-00661-5
Abstract:
In modern fossil and nuclear power plants, the components are subjected to creep, fatigue, and creep-fatigue (CF) due to frequent start-up and shut-down operations at high temperatures. The CF interaction on the in-service P92 steel welded joint was investigated by strain-controlled CF tests with different dwell times of 30, 120, 300, 600 and 900 s at 650 ℃. Based on the observations of the fracture surface by scanning electron microscope (SEM), the characteristic microstructure of fatigue-induced damage was found for the CF specimens with short dwell times (30 and 120 s). The hardness, elastic modulus and creep deformation near the fracture edges of four typical CF specimens with 30, 120, 600 and 900 s dwell times were measured by nanoindentation. Compared to specimens with post-weld heat treatment (PWHT), lower hardness and creep strength were found for all CF specimens. In addition, significant reductions in hardness, elastic modulus, and creep strength were measured near the fracture edges for the CF specimens with short dwell times compared to the PWHT specimens. Compared to PWHT specimens (0.007), the increased strain rate sensitivities (SRS) of 0.010 to 0.17 were estimated from secondary creep. The increased values of SRS indicate that the room temperature creeps behavior is strongly affected by the decrease in dislocation density after the CF tests.
In modern fossil and nuclear power plants, the components are subjected to creep, fatigue, and creep-fatigue (CF) due to frequent start-up and shut-down operations at high temperatures. The CF interaction on the in-service P92 steel welded joint was investigated by strain-controlled CF tests with different dwell times of 30, 120, 300, 600 and 900 s at 650 ℃. Based on the observations of the fracture surface by scanning electron microscope (SEM), the characteristic microstructure of fatigue-induced damage was found for the CF specimens with short dwell times (30 and 120 s). The hardness, elastic modulus and creep deformation near the fracture edges of four typical CF specimens with 30, 120, 600 and 900 s dwell times were measured by nanoindentation. Compared to specimens with post-weld heat treatment (PWHT), lower hardness and creep strength were found for all CF specimens. In addition, significant reductions in hardness, elastic modulus, and creep strength were measured near the fracture edges for the CF specimens with short dwell times compared to the PWHT specimens. Compared to PWHT specimens (0.007), the increased strain rate sensitivities (SRS) of 0.010 to 0.17 were estimated from secondary creep. The increased values of SRS indicate that the room temperature creeps behavior is strongly affected by the decrease in dislocation density after the CF tests.
2021, 34: 136.
doi: 10.1186/s10033-021-00662-4
Abstract:
Vertical picking method is a predominate method used to harvest cotton crop. However, a vertical picking method may cause spindle bending of the cotton picker if spindles collide with stones on the cotton field. Thus, how to realize a precise height control of the cotton picker is a crucial issue to be solved. The objective of this study is to design a height control system to avoid the collision. To design it, the mathematical models are established first. Then a multi-objective optimization model represented by structure parameters and control parameters is proposed to take the pressure of chamber without piston, response time and displacement error of the height control system as the optimization objectives. An integrated optimization approach that combines optimization via simulation, particle swarm optimization and simulated annealing is proposed to solve the model. Simulation and experimental test results show that the proposed integrated optimization approach can not only reduce the pressure of chamber without piston, but also decrease the response time and displacement error of the height control system.
Vertical picking method is a predominate method used to harvest cotton crop. However, a vertical picking method may cause spindle bending of the cotton picker if spindles collide with stones on the cotton field. Thus, how to realize a precise height control of the cotton picker is a crucial issue to be solved. The objective of this study is to design a height control system to avoid the collision. To design it, the mathematical models are established first. Then a multi-objective optimization model represented by structure parameters and control parameters is proposed to take the pressure of chamber without piston, response time and displacement error of the height control system as the optimization objectives. An integrated optimization approach that combines optimization via simulation, particle swarm optimization and simulated annealing is proposed to solve the model. Simulation and experimental test results show that the proposed integrated optimization approach can not only reduce the pressure of chamber without piston, but also decrease the response time and displacement error of the height control system.
2021, 34: 141.
doi: 10.1186/s10033-021-00663-3
Abstract:
Existing research on the competitive failure relationship, failure mechanism, and influencing factors of bolt loosening and fatigue under different preloads is insufficient. This study analyzes the competitive failure relationship between bolt loosening and fatigue under composite excitation through competitive failure tests of bolt loosening and fatigue under different preloads. The results indicated that the failure mode of the bolt is only related to the load ratio (R) and is unrelated to the initial preload and excitation amplitude, which only determine the failure life of the bolt. The small axial loads of composite excitation can restrain bolt failure, and the significant degree of this restraining effect is different for different preloads. Subsequently, a fracture analysis of the bolt was performed to verify the competitive failure relationship of the bolt from a microscopic perspective, and the competitive failure mechanism of the bolt was determined. Based on the findings, we propose a calculation equation for the optimal preload of 8.8 grade high-strength bolts that can serve as a reference for engineering applications.
Existing research on the competitive failure relationship, failure mechanism, and influencing factors of bolt loosening and fatigue under different preloads is insufficient. This study analyzes the competitive failure relationship between bolt loosening and fatigue under composite excitation through competitive failure tests of bolt loosening and fatigue under different preloads. The results indicated that the failure mode of the bolt is only related to the load ratio (R) and is unrelated to the initial preload and excitation amplitude, which only determine the failure life of the bolt. The small axial loads of composite excitation can restrain bolt failure, and the significant degree of this restraining effect is different for different preloads. Subsequently, a fracture analysis of the bolt was performed to verify the competitive failure relationship of the bolt from a microscopic perspective, and the competitive failure mechanism of the bolt was determined. Based on the findings, we propose a calculation equation for the optimal preload of 8.8 grade high-strength bolts that can serve as a reference for engineering applications.
2021, 34: 145.
doi: 10.1186/s10033-021-00632-w
Abstract:
To improve the heat transfer performance of microchannels, a novel microchannel embedded with connected grooves crossing two sidewalls and the bottom surface (type A) was designed. A comparative study of heat transfer was conducted regarding the performances of type A microchannels, microchannels embedded with grooves on their bottom (including types B and C), or on the sidewalls (type D) as well as smooth rectangular microchannels (type E) via a three-dimensional numerical simulation and experimental validation (at Reynolds numbers from 118 to 430). Numerical results suggested that the average Nusselt number of types A, B, C, and D microchannels were 106, 73.4, 50.1, and 12.6% higher than that of type E microchannel, respectively. The smallest synergy angle β and entropy generation number Ns,a were determined for type A microchannels based on field synergy and nondimensional entropy analysis, which indicated that type A exhibited the best heat transfer performance. Numerical flow analysis indicated that connected grooves induced fluid to flow along two different temperature gradients, which contributed to enhanced heat transfer performance.
To improve the heat transfer performance of microchannels, a novel microchannel embedded with connected grooves crossing two sidewalls and the bottom surface (type A) was designed. A comparative study of heat transfer was conducted regarding the performances of type A microchannels, microchannels embedded with grooves on their bottom (including types B and C), or on the sidewalls (type D) as well as smooth rectangular microchannels (type E) via a three-dimensional numerical simulation and experimental validation (at Reynolds numbers from 118 to 430). Numerical results suggested that the average Nusselt number of types A, B, C, and D microchannels were 106, 73.4, 50.1, and 12.6% higher than that of type E microchannel, respectively. The smallest synergy angle β and entropy generation number Ns,a were determined for type A microchannels based on field synergy and nondimensional entropy analysis, which indicated that type A exhibited the best heat transfer performance. Numerical flow analysis indicated that connected grooves induced fluid to flow along two different temperature gradients, which contributed to enhanced heat transfer performance.
2021, 34: 132.
doi: 10.1186/s10033-021-00659-z
Abstract:
2021, 34: 144.
doi: 10.1186/s10033-021-00652-6
Abstract:
E-mail Alerts
